Oписание Theoretical physics
Физики-теоретики довольно типичные ученые
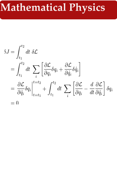
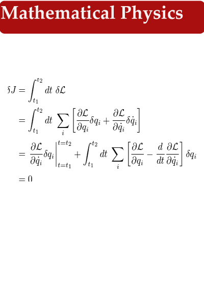
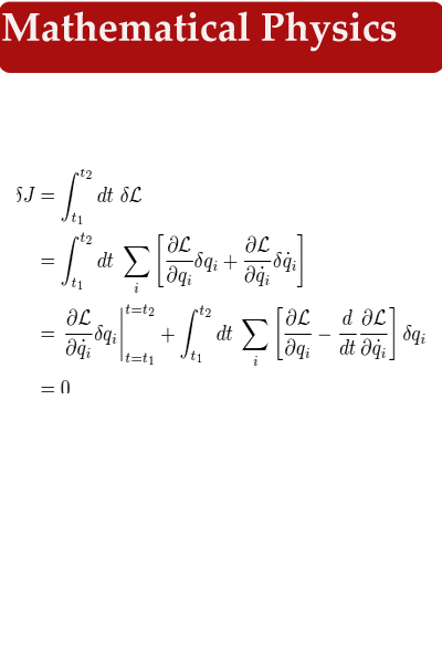
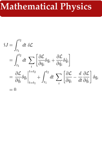
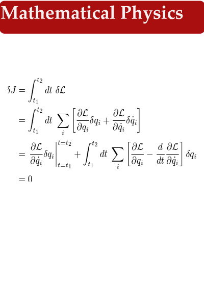
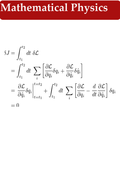
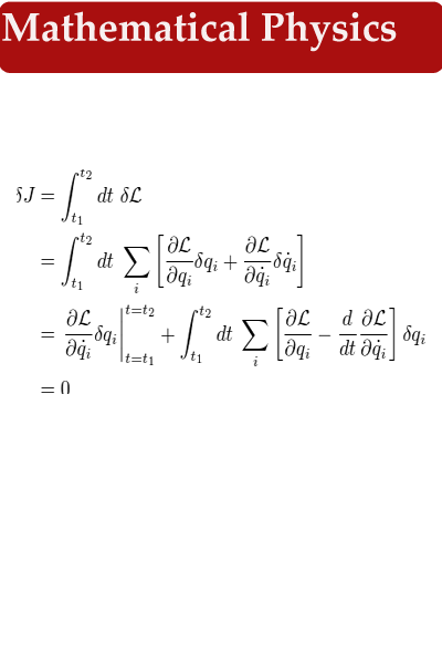
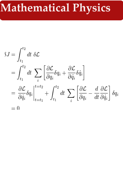
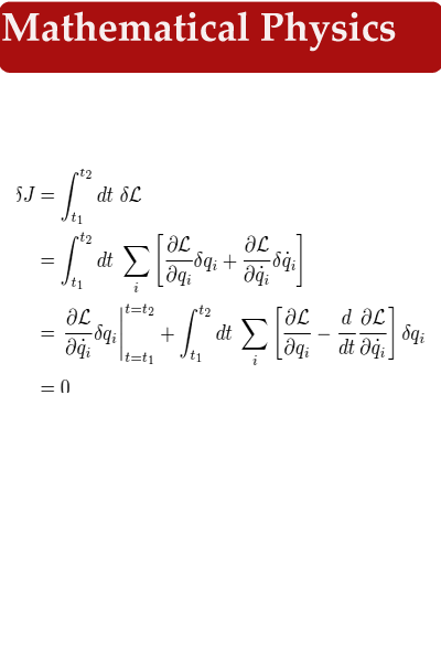
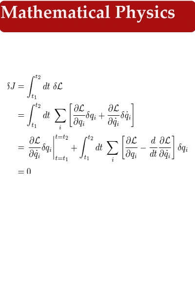
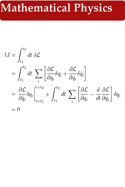
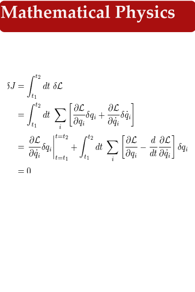
Теоретическая физика - это раздел физики, который использует математические модели и абстракции физических объектов и систем для рационализации, объяснения и предсказания природных явлений. Это контрастирует с экспериментальной физикой, которая использует экспериментальные инструменты для исследования этих явлений.
Развитие науки обычно зависит от взаимодействия экспериментальных исследований и теории. В некоторых случаях теоретическая физика придерживается стандартов математической строгости, не придавая большого значения экспериментам и наблюдениям. Например, при разработке специальной теории относительности Альберт Эйнштейн занимался преобразованием Лоренца, которое оставило уравнения Максвелла инвариантными, но, по-видимому, не интересовался экспериментом Майкельсона-Морли по дрейфу Земли через светоносный эфир. Нобелевская премия за объяснение фотоэлектрического эффекта, ранее экспериментального результата, не имеющего теоретической формулировки.
Что нового в последней версии 60.0
Информация Theoretical physics APK
Старые Версии Theoretical physics
Theoretical physics 60.0
Theoretical physics 43.0
Theoretical physics 35.0
Theoretical physics 27.0
Супер Быстрая и Безопасная Загрузка через Приложение APKPure
Один клик для установки XAPK/APK файлов на Android!




