دربارهی Theoretical physics
فیزیکدانان نظری دانشمندان و نه معمولی
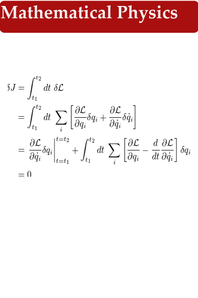
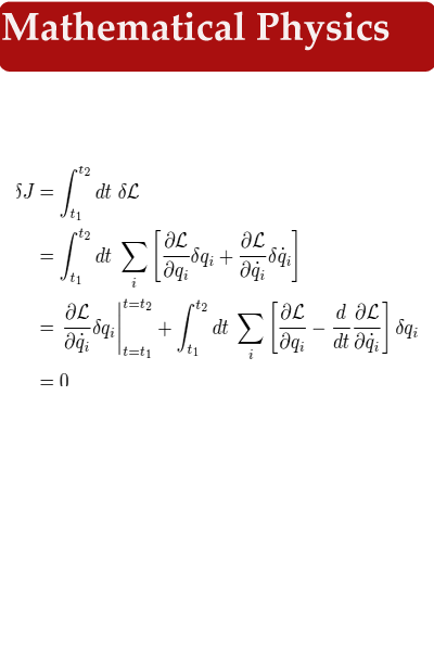
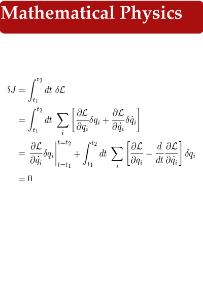
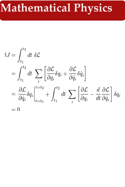
فیزیک نظری شاخه ای از فیزیک است که برای منطقی سازی ، توضیح و پیش بینی پدیده های طبیعی از مدل های ریاضی و انتزاع اجسام و سیستم های فیزیکی استفاده می کند. این در تضاد با فیزیک تجربی است که از ابزارهای تجربی برای کاوش این پدیده ها استفاده می کند.
پیشرفت علم به طور کلی به تعامل بین مطالعات تجربی و نظریه بستگی دارد. در بعضی موارد ، فیزیک نظری در حالی که وزن کمی به آزمایشات و مشاهدات می دهد ، از استانداردهای ریاضیات پیروی می کند. به عنوان مثال ، هنگام توسعه نسبیت خاص ، آلبرت انیشتین درگیر تغییر و تحول لورنتس بود که معادلات ماکسول را ثابت نگه داشت ، اما ظاهراً در مورد آزمایش میکلسون-مورلی در رانش زمین از طریق یک اتر درخشان بی علاقه بود. جایزه نوبل برای توضیح اثر فوتوالکتریک ، که قبلاً یک نتیجه آزمایشی فاقد یک فرمول نظری بود.
جدیدترین 60.0 چه خبر است
اطلاعات Theoretical physics APK
نسخههای قدیمی Theoretical physics
Theoretical physics 60.0
Theoretical physics 43.0
Theoretical physics 35.0
Theoretical physics 27.0
دانلود فوق سریع و ایمن از طریق برنامه APKPure
برای نصب فایل های XAPK/APK در اندروید با یک کلیک!




