À propos de Physique théorique
physicien théorique est une science plutôt typique
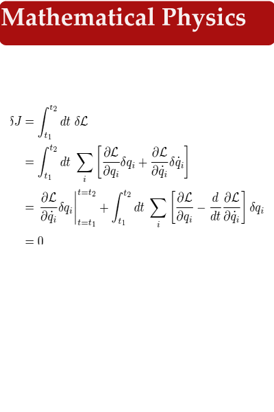
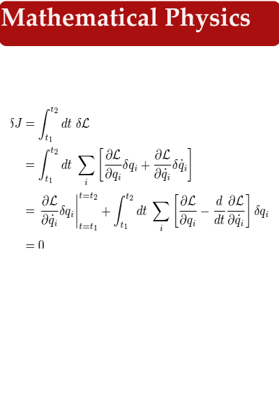
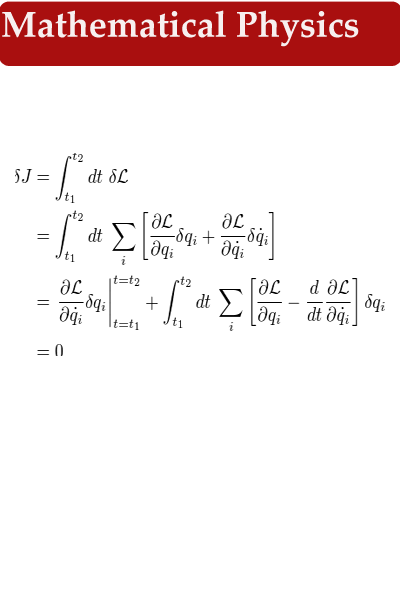
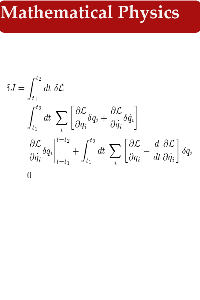
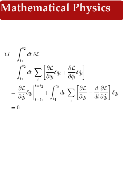
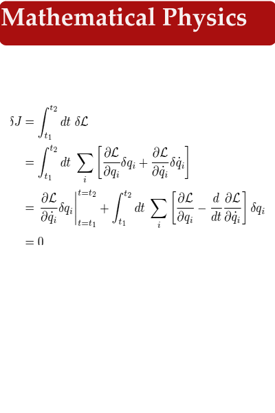
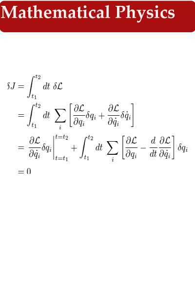
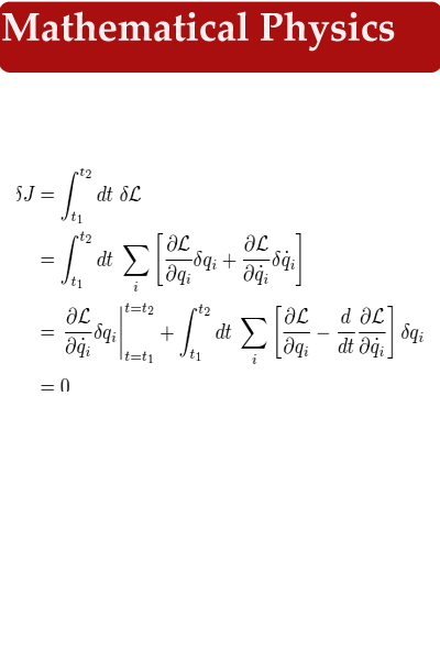
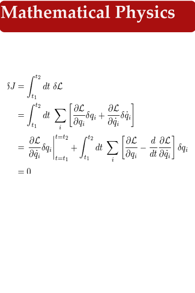
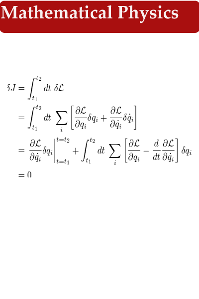
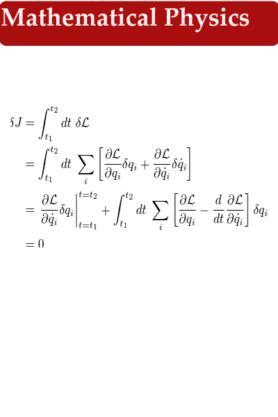
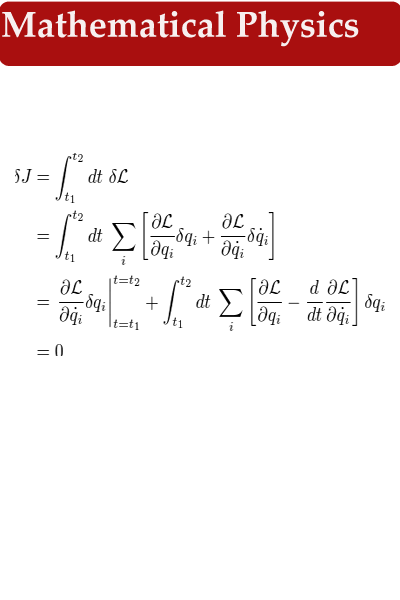
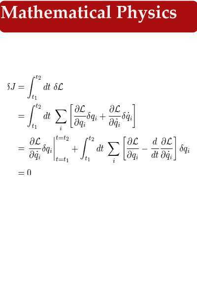
La physique théorique est une branche de la physique qui emploie des modèles mathématiques et des abstractions d'objets physiques et des systèmes pour rationaliser, expliquer et prédire les phénomènes naturels. Ceci est en contraste à la physique expérimentale, qui utilise des outils expérimentaux pour sonder ces phénomènes.
L'avancement de la science dépend généralement de l'interaction entre les études expérimentales et la théorie. Dans certains cas, la physique théorique conforme aux normes de rigueur mathématique tout en donnant peu de poids à des expériences et des observations. Par exemple, tout en développant la Relativité Restreinte, Albert Einstein était préoccupé par la transformation de Lorentz qui a laissé les équations de Maxwell invariant, mais était apparemment indifférent à l'expérience de Michelson-Morley sur la dérive de la Terre par un éther luminiferous. [Citation nécessaire] A l'inverse, Einstein a reçu le Prix Nobel pour expliquer l'effet photoélectrique, auparavant un résultat expérimental manque une formulation théorique.
What's new in the latest 60.0
Informations Physique théorique APK
Vieilles versions de Physique théorique
Physique théorique 60.0
Physique théorique 43.0
Physique théorique 35.0
Physique théorique 27.0
Téléchargement super rapide et sûr via l'application APKPure
Un clic pour installer les fichiers XAPK/APK sur Android!




