As equações diferenciais
3.9 MB
Tamanho do arquivo
Everyone
Android 5.0+
Android OS
Sobre este As equações diferenciais
А calculadora de equações diferenciais resolve de modo detalhado a maioria
А calculadora de equações diferenciais resolve de modo detalhado a maioria das equações
А calculadora de equações diferenciais online resolve:
[✔] As equações diferenciais de primeira ordem mais simples
[✔] As equações diferenciais com variáveis separáveis
[✔] As equações diferenciais lineares heterogéneas de primeira ordem
[✔] A equação diferencial de Bernoulli
[✔] As equações diferenciais exatas
[✔] As equações diferenciais lineares homogêneas de segunda ordem com coeficientes constantes
[✔] As equações diferenciais lineares heterogéneas de segunda ordem com coeficientes constantes
[✔] As equações diferenciais lineares heterogéneas
[✔] As equações diferenciais que permitem uma redução de ordem
[✔] As equações diferenciais lineares homogéneas e heterogéneas de ordens superiores com coeficientes constantes
Incluindo uma solução detalhada para:
[✔] As equações diferenciais mais simples
[✔] As equações lineares homogêneas e heterogéneas de primeira e segunda ordem
[✔] As equações de 1-a ordem de variáveis separáveis
Suporta:
[✔] Todas as funções matemáticas. Por exemplo, tais como: sin(x), cos(x), exp(x), tan(x), ctan(x), sqrt(x) e outras.
[✔] Vários argumentos e parâmetros: a, b, c, etc.
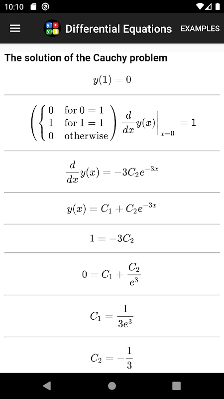
Os exemplos de equações diferenciais que podem ser resolvidas:
y' = x + e^x - 1
y' = 2x/(x^2 - 7)^(1/3)
e^y*dy = (x + sin(2x))dx
y' = y*(x^2 + e^x)
y' - 2*x*y/(1+x^2) = 1 + x^2
y'' + 3*y' = 0
x*y'' - xy' + y = 0
y'' - 2y' = (x^2 + 1)*e^x
x*y'' - xy' + y = x^2 + 1
(x^2 - y^2)dx - 2xydy = 0
y'''' + y''' - 5y'' + y' - 6y = x*cos(x) + sin(x)
4y^3*y'' = y^4 - 1
Novidades em 7.0.1 mais recente
Informações sobre As equações diferenciais APK
Versões Antigas de As equações diferenciais
As equações diferenciais 7.0.1
Baixar de Forma Rápida e Segura via APKPure App
Um clique para instalar arquivos XAPK/APK no Android!



