Oписание Дифференциальные уравнения
Калькулятор дифференциальных уравнений для большинства ур-ний решает подробно.
Калькулятор дифференциальных уравнений онлайн решает:
[✔] Простейшие дифференциальные уравнения первого порядка
[✔] Дифференциальные уравнения с разделяющимися переменными
[✔] Линейные неоднородные дифференциальные уравнения первого порядка
[✔] Дифференциальное уравнение Бернулли
[✔] Уравнения в полных дифференциалах
[✔] Линейные однородные дифференциальные уравнения второго порядка с постоянными коэффициентами
[✔] Линейные неоднородные дифференциальные уравнения второго порядка с постоянными коэффициентами
[✔] линейные неоднородные дифференциальные уравнения
[✔] Дифференциальные уравнения, допускающие понижение порядка
[✔] Линейные однородные и неоднородные дифференциальные уравнения высших порядков с постоянными коэффициентами
В том числе, подробное решение для:
[✔] Простейших дифференциальных уравнений
[✔] Линейных однородных и неоднородных уравнений первого и второго порядков
[✔] Уравнений 1-порядка с разделяющимися переменными
Поддерживает:
[✔] Все математические функции. К примеру такие: sin(x), cos(x), exp(x), tan(x), ctan(x), sqrt(x) и другие.
[✔] Комплексные переменные (решает комплексные уравнения)
[✔] Различные аргументы и параметры: a, b, c и т.д
Содержит фишки:
[✔] Примеры для ввода
[✔] Исправляет ошибки в выражениях и предлагает для ввода свои варианты
Примеры решаемых дифференциальных уравнений:
y' = x + e^x - 1
y' = 2x/(x^2 - 7)^(1/3)
e^y*dy = (x + sin(2x))dx
y' = y*(x^2 + e^x)
y' - 2*x*y/(1+x^2) = 1 + x^2
y'' + 3*y' = 0
x*y'' - xy' + y = 0
y'' - 2y' = (x^2 + 1)*e^x
x*y'' - xy' + y = x^2 + 1
(x^2 - y^2)dx - 2xydy = 0
y'''' + y''' - 5y'' + y' - 6y = x*cos(x) + sin(x)
4y^3*y'' = y^4 - 1
Новое:
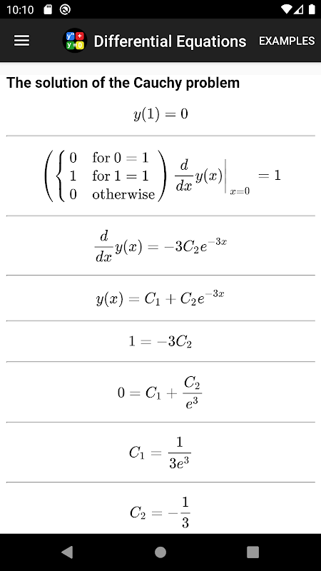
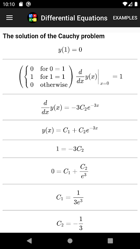
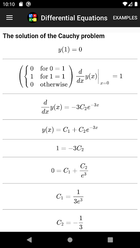
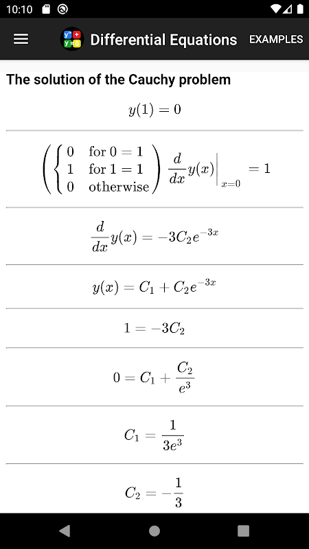
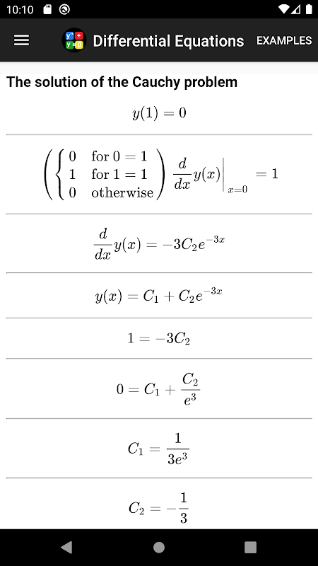
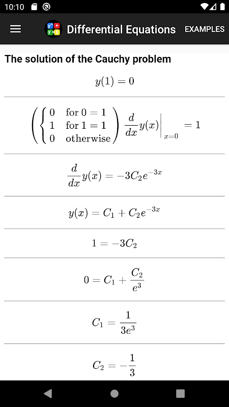
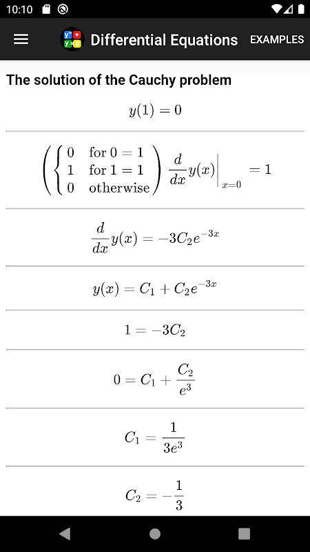
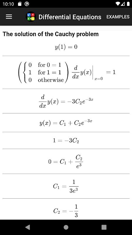
Добавлена начальная поддержка для задачи Коши (также строится семейство кривых решения дифференциального уравнения)
Что нового в последней версии 7.0.1
Информация Дифференциальные уравнения APK
Старые Версии Дифференциальные уравнения
Дифференциальные уравнения 7.0.1
Супер Быстрая и Безопасная Загрузка через Приложение APKPure
Один клик для установки XAPK/APK файлов на Android!



