Informazioni su Equazioni differenziali
Calcolatrice equazioni differenziali per la maggior parte delle equazioni decide
Calcolatrice equazioni differenziali per la maggior parte delle equazioni decide di dettaglio.
Calcolatrice equazioni differenziali online decide:
[✔] Semplici equazioni differenziali del primo ordine
[✔] Equazioni differenziali a variabili separabili
[✔] Lineari non omogenei equazioni differenziali del primo ordine
[✔] L'equazione differenziale di Bernoulli
[✔] Equazioni differenziali completi
[✔] Lineari omogenee equazioni differenziali del secondo ordine a coefficienti costanti
[✔] Lineari non omogenei equazioni differenziali del secondo ordine a coefficienti costanti
[✔] Lineari non omogenei equazioni differenziali
[✔] Equazioni differenziali che consentono una riduzione di circa
[✔] Lineari omogenei e non omogenei equazioni differenziali di ordine superiore con coefficienti costanti
Tra cui, la soluzione dettagliata per:
[✔] Semplici equazioni differenziali
[✔] Lineari omogenei e eterogenei di equazioni di primo e secondo ordine
[✔] Equazioni del primo ordine a variabili separabili
Supporta:
[✔] Tutte le funzioni matematiche. Ad esempio: sin(x), cos(x), exp(x), tan(x), ctan(x) sqrt(x) e altri.
[✔] Variabili complesse (risolve equazioni complete)
[✔] I vari argomenti e parametri: a, b, c, ecc.
Contiene un chip:
[✔] Esempi di inserimento
[✔] Corregge gli errori nelle espressioni e offre per inserire le opzioni
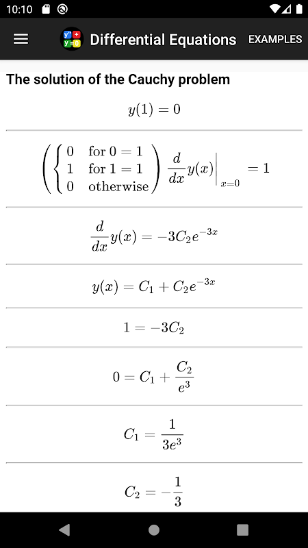
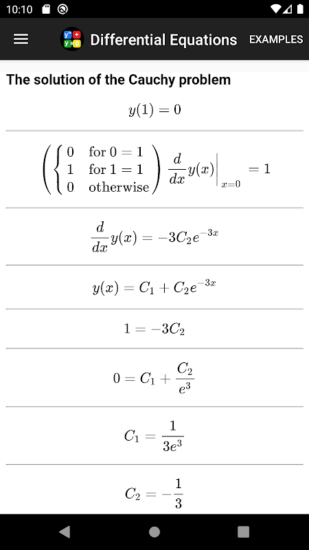
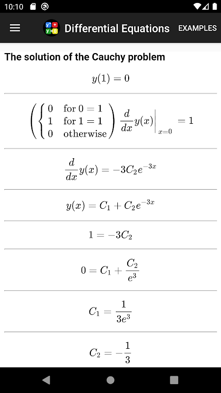
Esempi di risolvere equazioni differenziali alle derivate parziali:
y' = x + e^x - 1
y' = 2x/(x^2 - 7)^(1/3)
e^y*dy = (x + sin(2x))dx
y' = y*(x^2 + e^x)
y' - 2*x*y/(1+x^2) = 1 + x^2
y'' + 3*y' = 0
x*y'' - xy' + y = 0
y'' - 2y' = (x^2 + 1)*e^x
x*y'' - xy' + y = x^2 + 1
(x^2 - y^2)dx - 2xydy = 0
y'''' + y''' - 5y'' + y' - 6y = x*cos(x) + sin(x)
4y^3*y'' = y^4 - 1
What's new in the latest 7.0.1
Informazioni sull'APK Equazioni differenziali
Vecchie versioni di Equazioni differenziali
Equazioni differenziali 7.0.1
Download super veloce e sicuro tramite l'app APKPure
Basta un clic per installare i file XAPK/APK su Android!



