关于Differential Equations Steps
在线微分方程计算器
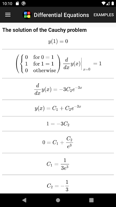
通常,微分方程计算器提供详细的解决方案
在线微分方程计算器可让您解决:
包括以下方面的详细解决方案:
[✔]一阶微分方程
[✔]线性齐次和非齐次的一阶和二阶方程
[✔]具有可分离变量的方程
可解微分方程的示例:
[✔]简单的一阶微分方程
[✔]具有可分离变量的微分方程
[✔]一阶不均匀线性微分方程
[✔]伯努利微分方程
[✔]精确的微分方程
[✔]具有常数系数的线性齐次二阶微分方程
[✔]具有常数系数的非均匀线性二阶微分方程
[✔]微分方程,可减少阶数
[✔]具有恒定系数的高阶线性齐次和非齐次微分方程
[✔]支持所有数学符号和功能。例如:sin(x),cos(x),exp(x),tan(x),ctan(x)等。
[✔]支持复杂变量(求解复杂方程)
计算器包含以下功能:
[✔]几个例子
[✔]正确输入表达式错误
解决的例子:
y'= x + e ^ x-1
y'= 2x /(x ^ 2-7)^(1/3)
e ^ y * dy =(x + sin(2x))dx
y'= y *(x ^ 2 + e ^ x)
y'-2 * x * y /(1 + x ^ 2)= 1 + x ^ 2
y''+ 3 * y'= 0
x * y''-xy'+ y = 0
y''-2y'=(x ^ 2 +1)* e ^ x
x * y''-xy'+ y = x ^ 2 +1
(x ^ 2-y ^ 2)dx-2xydy = 0
y''''+ y'''-5y''+ y'-6y = x * cos(x)+ sin(x)
4y ^ 3 * y''= y ^ 4-1
最新版本7.0.1的更新日志
Last updated on 2020年01月20日
Minor bug fixes and improvements. Install or update to the newest version to check it out!
Differential Equations Steps APK信息
在APKPure安全快速地下载APK
APKPure 使用签名验证功能,确保为您提供无病毒的 Differential Equations Steps APK 下载。
Differential Equations Steps历史版本
Differential Equations Steps 7.0.1
3.9 MB2020年01月20日



