このDifferential Equations Stepsについて
オンライン微分方程式電卓
一般的に、微分方程式計算機は詳細なソリューションを提供します
オンライン微分方程式電卓を使用すると、以下を解くことができます。
以下の詳細なソリューションを含む:
[✔] 1次微分方程式
[✔]一次および二次の線形同次および不等式
[✔]分離可能な変数を持つ方程式
解ける微分方程式の例:
[✔]簡単な1次微分方程式
[✔]分離可能な変数を持つ微分方程式
[✔]一次の不均一線形微分方程式
[✔]ベルヌーイ微分方程式
[✔]正確な微分方程式
[✔]定数係数を持つ線形同次二階微分方程式
[✔]定数係数を持つ不均一線形2次微分方程式
[✔]次数の削減を可能にする微分方程式
[✔]係数が一定の高次の線形同次および不均一微分方程式
[✔]すべての数学記号と関数をサポートしました。たとえば、sin(x)、cos(x)、exp(x)、tan(x)、ctan(x)など。
[✔]サポートされている複素変数(複素方程式を解く)
計算機にはいくつかの機能が含まれています。
[✔]いくつかの例
[✔]入力式エラーの修正
解決の例:
y '= x + e ^ x-1
y '= 2x /(x ^ 2-7)^(1/3)
e ^ y * dy =(x + sin(2x))dx
y '= y *(x ^ 2 + e ^ x)
y '-2 * x * y /(1 + x ^ 2)= 1 + x ^ 2
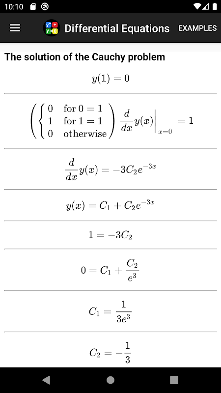
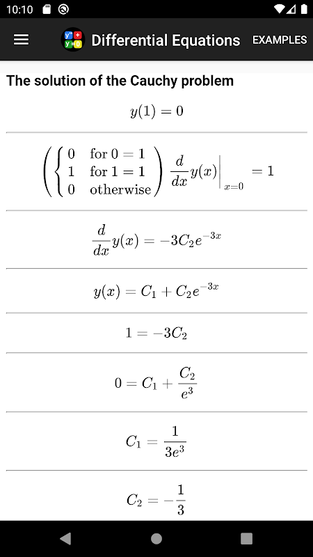
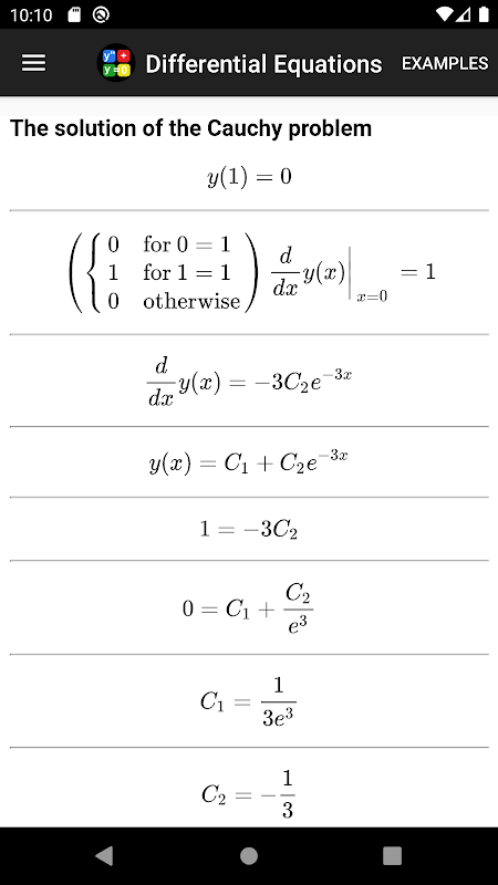
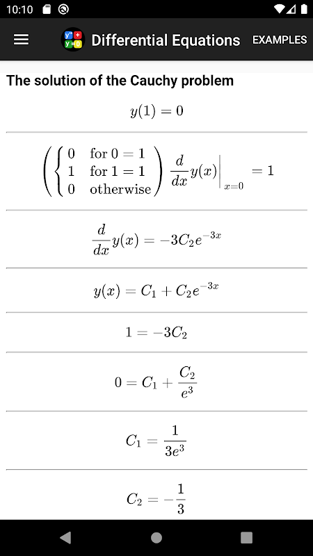
y '' + 3 * y '= 0
x * y ''-xy '+ y = 0
y ''-2y '=(x ^ 2 + 1)* e ^ x
x * y ''-xy '+ y = x ^ 2 + 1
(x ^ 2-y ^ 2)dx-2xydy = 0
y '' '' + y '' '-5y' '+ y'-6y = x * cos(x)+ sin(x)
4y ^ 3 * y '' = y ^ 4-1



