Differential Equations Steps
3.9 MB
Bestandsgrootte
Everyone
Android 5.0+
Android OS
Over Differential Equations Steps
Online differentiaalvergelijkingen calculator
Over het algemeen biedt de differentiaalvergelijkingencalculator een gedetailleerde oplossing
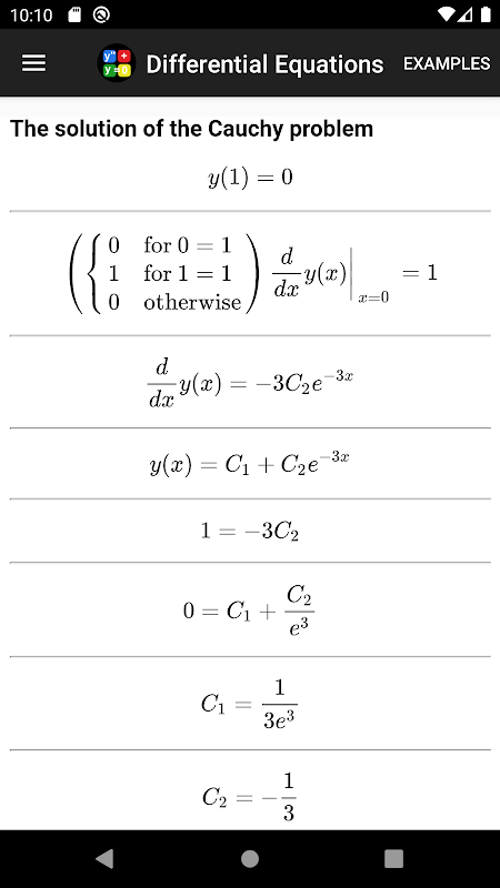
Online differentiaalvergelijkingen calculator kunt u het volgende oplossen:
Inclusief gedetailleerde oplossingen voor:
[✔] Eerste-orde differentiaalvergelijkingen
[✔] Lineaire homogene en inhomogene eerste en tweede orde vergelijkingen
[✔] A-vergelijkingen met scheidbare variabelen
Voorbeelden van oplosbare differentiaalvergelijkingen:
[✔] Eenvoudige differentiaalvergelijkingen van de eerste orde
[✔] Differentiaalvergelijkingen met scheidbare variabelen
[✔] Niet-homogene lineaire differentiaalvergelijking van de eerste orde
[✔] Bernoulli differentiaalvergelijking
[✔] Exacte differentiaalvergelijkingen
[✔] Lineaire homogene tweede orde differentiaalvergelijkingen met constante coëfficiënten
[✔] Inhomogene lineaire tweede orde differentiaalvergelijkingen met constante coëfficiënten
[✔] Differentiaalvergelijkingen, waardoor de volgorde kan worden verminderd
[✔] Lineaire homogene en inhomogene differentiaalvergelijkingen van hogere orde met constante coëfficiënten
[✔] Ondersteunde alle wiskundige symbolen en functies. Bijvoorbeeld: sin (x), cos (x), exp (x), tan (x), ctan (x) en andere.
[✔] Vermeende complexe variabelen (complexe vergelijkingen oplossen)
De calculator bevat verschillende functies:
[✔] Verschillende voorbeelden
[✔] Foutieve invoeruitdrukkingsfouten
Voorbeelden voor het oplossen:
y '= x + e ^ x - 1
y '= 2x / (x ^ 2-7) ^ (1/3)
e ^ y * dy = (x + sin (2x)) dx
y '= y * (x ^ 2 + e ^ x)
y '- 2 * x * y / (1 + x ^ 2) = 1 + x ^ 2
y '' + 3 * y '= 0
x * y '' - xy '+ y = 0
y '' - 2y '= (x ^ 2 + 1) * e ^ x
x * y '' - xy '+ y = x ^ 2 + 1
(x ^ 2 - y ^ 2) dx - 2xydy = 0
y '' '' + y '' '- 5y' '+ y' - 6y = x * cos (x) + sin (x)
4y ^ 3 * y '' = y ^ 4 - 1
What's new in the latest 7.0.1
Differential Equations Steps APK -informatie
Oude versies van Differential Equations Steps
Differential Equations Steps 7.0.1
Supersnel en veilig downloaden via de APKPure-app
Eén klik om XAPK/APK-bestanden op Android te installeren!



