Differential Equations Steps 정보
온라인 미분 방정식 계산기
일반적으로 미분 방정식 계산기는 자세한 솔루션을 제공합니다
온라인 미분 방정식 계산기를 사용하면 다음을 해결할 수 있습니다.
다음에 대한 자세한 솔루션 포함 :
[✔] 1 차 미분 방정식
[✔] 선형 균질 및 비균질 1 차 및 2 차 방정식
[✔] 분리 가능한 변수가있는 방정식
해결할 수있는 미분 방정식의 예 :
[✔] 간단한 1 차 미분 방정식
[✔] 분리 가능한 변수를 가진 미분 방정식
[✔] 1 차 불균일 선형 미분 방정식
[✔] 베르누이 미분 방정식
[✔] 정확한 미분 방정식
[✔] 상수 계수가있는 선형 균질 2 차 미분 방정식
[✔] 일정한 계수를 가진 불균일 선형 2 차 미분 방정식
[✔] 차분 방정식, 차수 감소
[✔] 상수 계수가 높은 선형 동종 및 동종 미분 방정식
[✔] 모든 수학 기호 및 기능을 지원합니다. 예 : sin (x), cos (x), exp (x), tan (x), ctan (x) 및 기타
[✔] 지원되는 복소수 변수 (복소수 방정식 풀기)
계산기에는 몇 가지 기능이 있습니다.
[✔] 몇 가지 예
[✔] Сorrect input expression errors
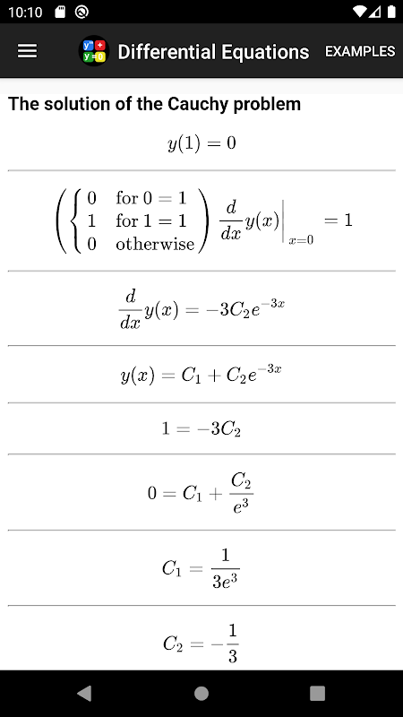
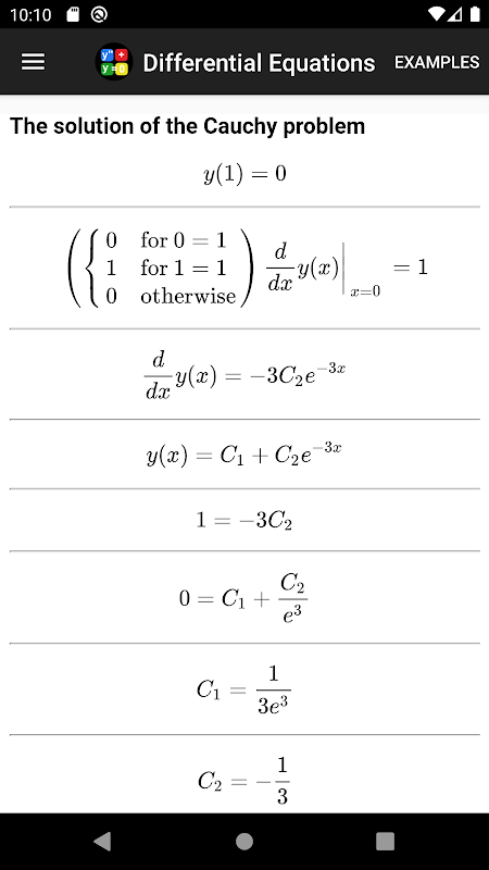
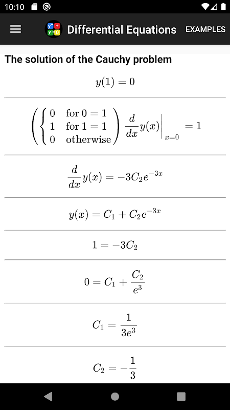
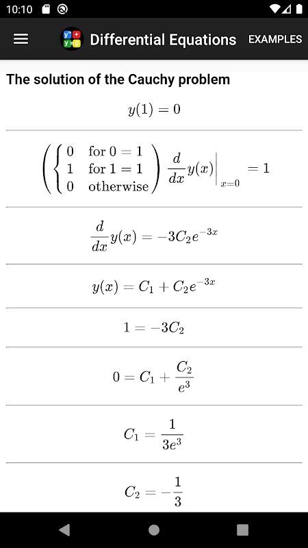
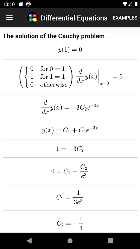
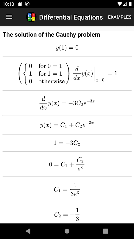
해결의 예 :
y '= x + e ^ x-1
y '= 2x / (x ^ 2-7) ^ (1/3)
e ^ y * dy = (x + sin (2x)) dx
y '= y * (x ^ 2 + e ^ x)
y '-2 * x * y / (1 + x ^ 2) = 1 + x ^ 2
y ''+ 3 * y '= 0
x * y ''-xy '+ y = 0
y ''-2y '= (x ^ 2 + 1) * e ^ x
x * y ''-xy '+ y = x ^ 2 + 1
(x ^ 2-y ^ 2) dx-2xydy = 0
y '' ''+ y '' '-5y' '+ y'-6y = x * cos (x) + sin (x)
4y ^ 3 * y ''= y ^ 4-1



