Differential Equations Steps
3.9 MB
Dosya Boyutu
Everyone
Android 5.0+
Android OS
Differential Equations Steps hakkında
Çevrimiçi diferansiyel denklemler hesaplayıcısı
Genel olarak, diferansiyel denklemler hesaplayıcısı ayrıntılı çözüm sağlar
Çevrimiçi diferansiyel denklemler hesaplayıcısı aşağıdakileri çözmenize olanak tanır:
Aşağıdakiler için ayrıntılı çözümler dahil:
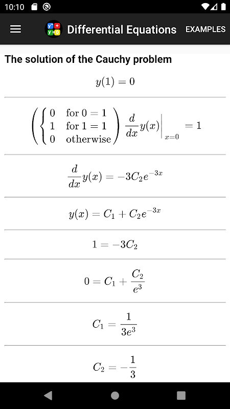
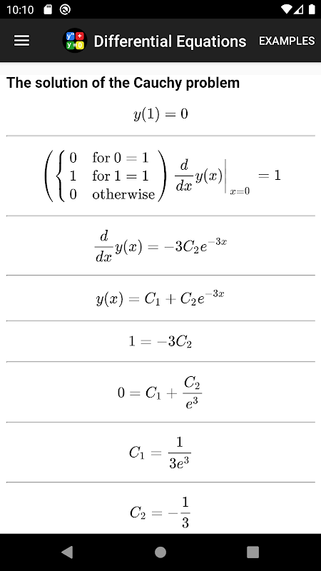
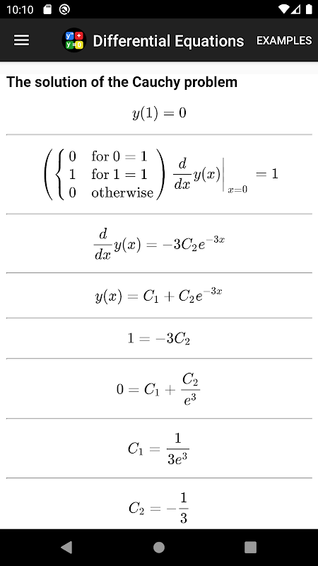
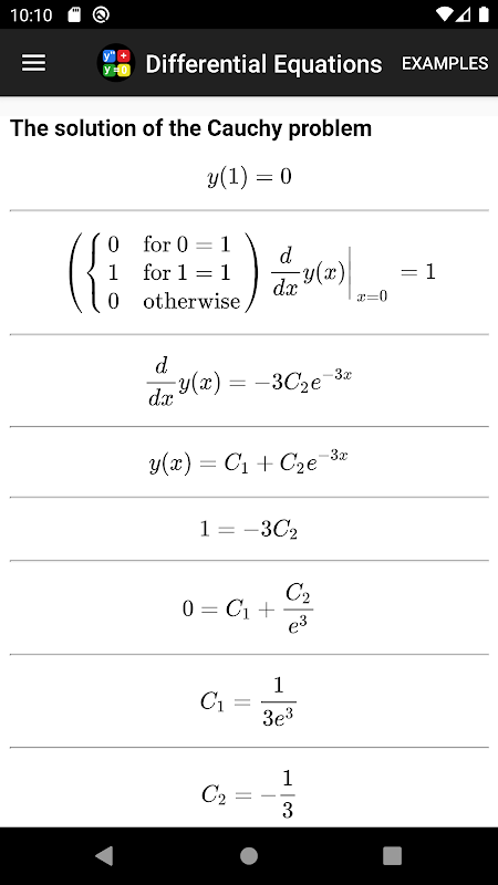
[✔] Birinci mertebeden diferansiyel denklemler
[✔] Doğrusal homojen ve homojen olmayan birinci ve ikinci mertebe denklemler
[✔] Ayrılabilir değişkenli bir denklem
Çözülebilir diferansiyel denklemlere örnekler:
[✔] Basit birinci mertebeden diferansiyel denklemler
[✔] Ayrılabilir değişkenli diferansiyel denklemler
[✔] Birinci mertebeden homojen olmayan lineer diferansiyel denklem
[✔] Bernoulli diferansiyel denklemi
[✔] Tam diferansiyel denklemler
[✔] Sabit katsayılı lineer homojen ikinci mertebeden diferansiyel denklemler
[✔] Sabit katsayılı homojen olmayan ikinci mertebeden diferansiyel denklemler
[✔] Diferansiyel denklemler, siparişin azaltılmasına izin
[✔] Sabit katsayılı yüksek mertebeden doğrusal homojen ve homojen olmayan diferansiyel denklemler
[✔] Tüm matematik sembolleri ve fonksiyonlarını destekledi. Örneğin: sin (x), cos (x), exp (x), tan (x), ktan (x) ve diğerleri.
[✔] Desteklenen karmaşık değişkenler (karmaşık denklemleri çözer)
Hesap Makinesi çeşitli özellikler içerir:
[✔] Birkaç örnek
[✔] Doğru giriş ifadesi hataları
Çözme örnekleri:
y '= x + e ^ x - 1
y '= 2x / (x ^ 2-7) ^ (1/3)
e ^ y * dy = (x + günah (2x)) dx
y '= y * (x ^ 2 + e ^ x)
y '- 2 * x * y / (1 + x ^ 2) = 1 + x ^ 2
y '' + 3 * y '= 0
x * y '' - xy '+ y = 0
y '' - 2y '= (x ^ 2 + 1) * e ^ x
x * y '' - xy '+ y = x ^ 2 + 1
(x ^ 2 - y ^ 2) dx - 2xydy = 0
y '' '' + y '' '- 5y' '+ y' - 6y = x * cos (x) + günah (x)
4y ^ 3 * y '' = y ^ 4-1
What's new in the latest 7.0.1
Differential Equations Steps APK Bilgileri
Differential Equations Steps'in eski sürümleri
Differential Equations Steps 7.0.1
APK Uygulaması ile Süper Hızlı ve Güvenli İndirme
XAPK/APK dosyalarını Android'e yüklemek için tek tıkla!



