دربارهی Differential Equations Steps
ماشین حساب معادلات دیفرانسیل آنلاین
به طور کلی ، ماشین حساب معادلات دیفرانسیل راه حل مفصلی ارائه می دهد
ماشین حساب معادلات دیفرانسیل آنلاین به شما امکان می دهد:
شامل راه حل های دقیق برای:
[✔] معادلات دیفرانسیل مرتبه اول
معادلات مرتبه اول و دوم همگن و ناهمگن خطی
[✔] یک معادله با متغیرهای جداکننده
نمونه ای از معادلات دیفرانسیل قابل حل:
[✔] معادلات دیفرانسیل ساده مرتبه اول
[✔] معادلات دیفرانسیل با متغیرهای جداکننده
[✔] معادله دیفرانسیل خطی ناهمگن از مرتبه اول
[✔] معادله دیفرانسیل برنولی
[✔] معادلات دیفرانسیل دقیق
[✔] معادلات دیفرانسیل مرتبه دوم همگن خطی با ضرایب ثابت
معادلات دیفرانسیل مرتبه دوم خطی ناهمگن با ضرایب ثابت
[✔] معادلات دیفرانسیل ، اجازه می دهد تا ترتیب سفارش کاهش یابد
معادلات دیفرانسیل همگن و غیر همگن خطی از مرتبه بالاتر با ضرایب ثابت
[✔] از همه نمادها و عملکردهای ریاضی پشتیبانی می کند. به عنوان مثال: gun (x) ، cos (x) ، exp (x) ، برنزه (x) ، ctan (x) و موارد دیگر.
[✔] متغیرهای پیچیده پشتیبانی شده (حل معادلات پیچیده)
ماشین حساب شامل چندین ویژگی است:
[✔] چند مثال
[✔] اشتباهات بیان ورودی صحیح است
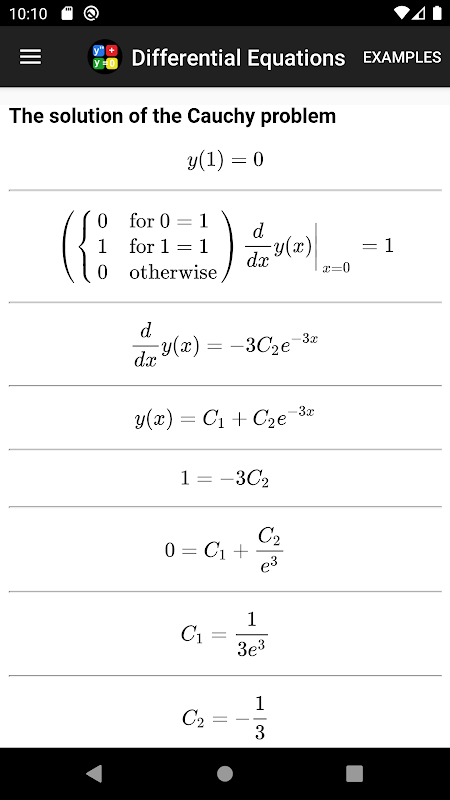
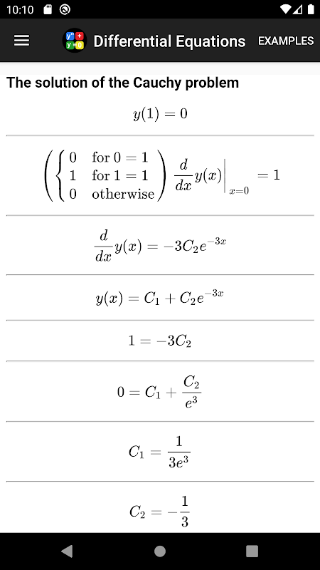
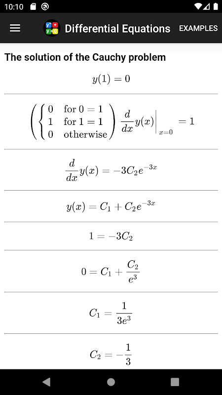
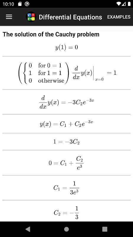
مثال هایی برای حل:
y '= x + e ^ x - 1
y '= 2x / (x ^ 2 - 7) ^ (1/3)
e ^ y * dy = (x + sin (2x)) dx
y '= y * (x ^ 2 + e ^ x)
y '- 2 * x * y / (1 + x ^ 2) = 1 + x ^ 2
y '' + 3 * y '= 0
x * y '' - xy '+ y = 0
y '' - 2y '= (x ^ 2 + 1) * e ^ x
x * y '' - xy '+ y = x ^ 2 + 1
(x ^ 2 - y ^ 2) dx - 2xydy = 0
y '' '' + y '' '- 5y' '+ y' - 6y = x * cos (x) + گناه (x)
4y ^ 3 * y '' = y ^ 4 - 1
جدیدترین 7.0.1 چه خبر است
اطلاعات Differential Equations Steps APK
نسخههای قدیمی Differential Equations Steps
Differential Equations Steps 7.0.1
دانلود فوق سریع و ایمن از طریق برنامه APKPure
برای نصب فایل های XAPK/APK در اندروید با یک کلیک!



