عن Differential Equations Steps
آلة حاسبة المعادلات التفاضلية على الانترنت
عموما ، آلة حاسبة المعادلات التفاضلية يوفر حل مفصل
حاسبة المعادلات التفاضلية عبر الإنترنت تسمح لك بحل:
بما في ذلك حلول مفصلة ل:
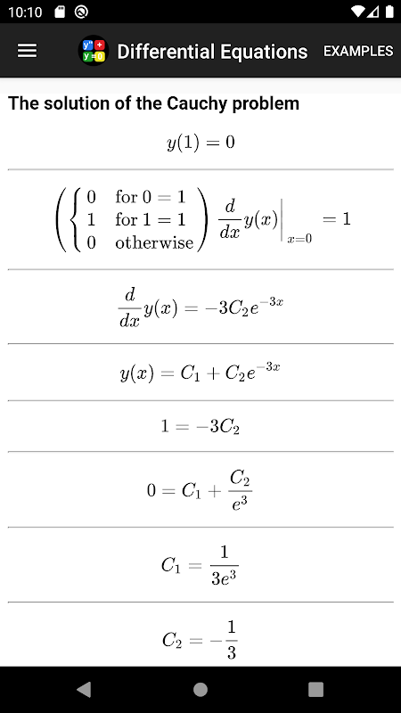
[✔] معادلات تفاضلية من الدرجة الأولى
[✔] معادلات من الدرجة الأولى والثانية خطية متجانسة وغير متجانسة
[✔] معادلات ذات متغيرات قابلة للفصل
أمثلة على المعادلات التفاضلية القابلة للحل:
[✔] معادلات تفاضلية بسيطة من الدرجة الأولى
[✔] معادلات تفاضلية مع متغيرات قابلة للفصل
[✔] معادلة تفاضلية خطية غير متجانسة من الدرجة الأولى
[✔] معادلة برنولي التفاضلية
[✔] المعادلات التفاضلية بالضبط
[✔] معادلات تفاضلية من الدرجة الثانية متجانسة الخطية ذات معاملات ثابتة
[✔] المعادلات التفاضلية الخطية من الدرجة الثانية غير المتجانسة ذات المعاملات الثابتة
[✔] المعادلات التفاضلية ، مما يسمح بتخفيض الترتيب
[✔] معادلات تفاضلية متجانسة وغير متجانسة خطية ذات ترتيب أعلى مع معاملات ثابتة
[✔] دعم جميع الرموز والوظائف الرياضية. على سبيل المثال: sin (x) و cos (x) و exp (x) و tan (x) و ctan (x) وغيرها.
[✔] المتغيرات المعقدة Suported (حل المعادلات المعقدة)
الحاسبة تحتوي على العديد من الميزات:
[✔] عدة أمثلة
[✔] تصحيح أخطاء تعبير الإدخال
أمثلة لحل:
y '= x + e ^ x - 1
y '= 2x / (x ^ 2 - 7) ^ (1/3)
e ^ y * dy = (x + sin (2x)) dx
y '= y * (x ^ 2 + e ^ x)
y '- 2 * x * y / (1 + x ^ 2) = 1 + x ^ 2
y '' + 3 * y '= 0
x * y '' - xy '+ y = 0
y '' - 2y '= (x ^ 2 + 1) * e ^ x
x * y '' - xy '+ y = x ^ 2 + 1
(x ^ 2 - y ^ 2) dx - 2xydy = 0
y '' '' + y '' '- 5y' '+ y' - 6y = x * cos (x) + sin (x)
4y ^ 3 * y '' = y ^ 4 - 1
What's new in the latest 7.0.1
معلومات Differential Equations Steps APK
الإصدارات القديمة لـ Differential Equations Steps
Differential Equations Steps 7.0.1
قم بتنزيل سريع وآمن بالغاية عبر تطبيق APKPure
قم بتثبيت ملفات XAPK/APK بنقرة واحدة على أندرويد!



