Acerca del Math Formulae Pro
Una aplicación imprescindible para estudiantes y estudiantes.
Esta es una versión sin publicidad de Math Formulas Lite.
Considere comprar la aplicación para ayudar a los desarrolladores.
Math Formulas Pro es una aplicación única e integral que está particularmente diseñada como una solución integral para estudiantes de grado universitario o superior. Enumera todas las fórmulas/temas importantes en álgebra, geometría, trigonometría y cálculo. La revisión periódica de estas fórmulas/conceptos definitivamente ayudará a mejorar tus calificaciones.
Los temas cubiertos incluyen:
ÁLGEBRA
Propiedades y hechos básicos
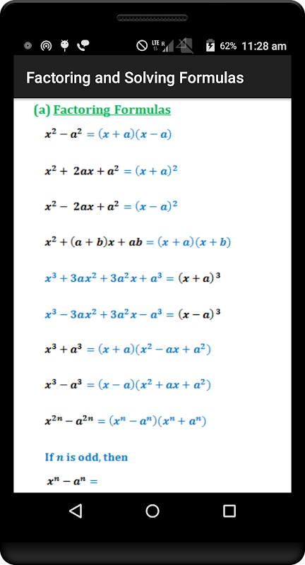
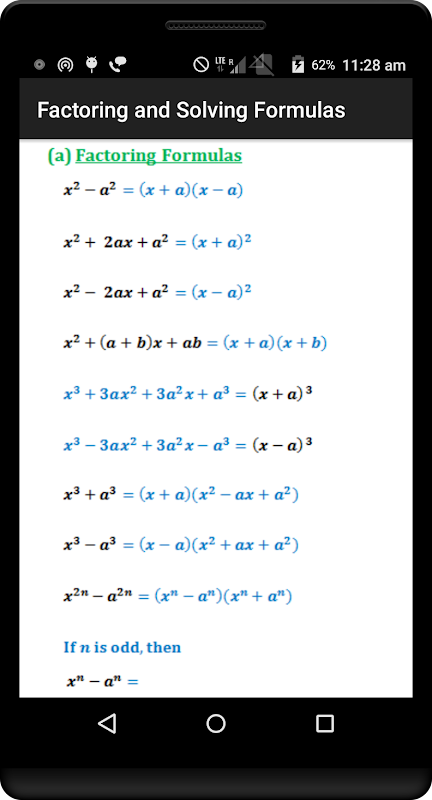
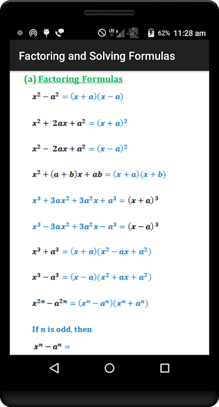
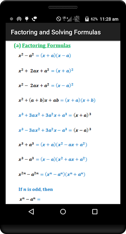
Factorizar y resolver fórmulas
Métodos de factorización y resolución (métodos de completar cuadrados, etc.)
Funciones y gráficos
Errores algebraicos comunes
GEOMETRÍA
Puntos y rectas
Anglos
triangulos
Cuadriláteros
polígonos
circulos
Geometría coordinada
Fórmulas de medición
TRIGONOMETRÍA
Definiciones
Hechos y propiedades
Fórmulas e identidades
Circulo unitario
Funciones trigonométricas inversas
Ley de senos, cosenos y tangentes
CÁLCULO
Límites
Derivados
Integrales
Transformadas de Laplace
Novedades más recientes 3
Información de Math Formulae Pro APK
Descarga rápida y segura a través de APKPure App
¡Un clic para instalar archivos XAPK/APK en Android!







