Tentang Math Formulae Pro
Aplikasi yang harus dimiliki untuk pelajar dan pelajar
Ini adalah versi Math Formulas Lite yang bebas iklan.
Harap pertimbangkan untuk membeli aplikasi untuk mendukung pengembang.
Math Formulas Pro adalah salah satu aplikasi unik dan komprehensif yang dirancang khusus sebagai solusi terpadu untuk Siswa Tingkat Perguruan Tinggi/Kelas Tinggi. Ini mencantumkan semua rumus/topik penting dalam Aljabar, Geometri, Trigonometri dan Kalkulus. Peninjauan rutin terhadap rumus/konsep ini pasti akan membantu meningkatkan nilai Anda.
Topik yang dibahas meliputi:
ALJABAR
Sifat dan Fakta Dasar
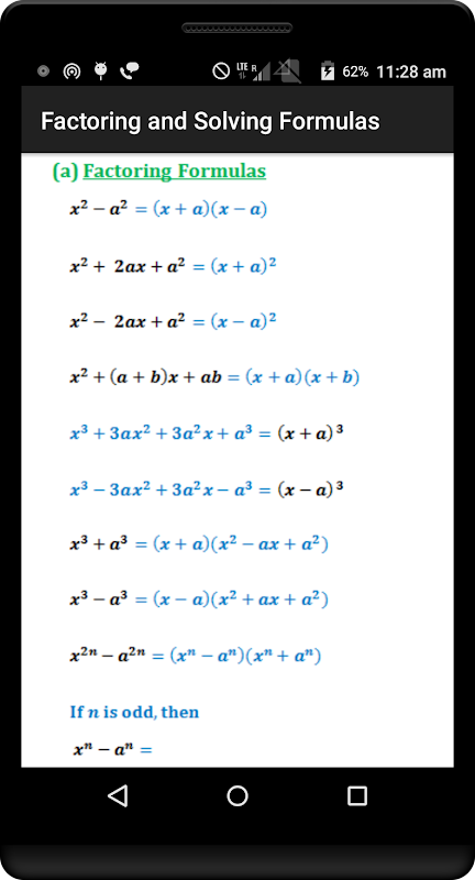
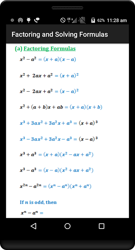
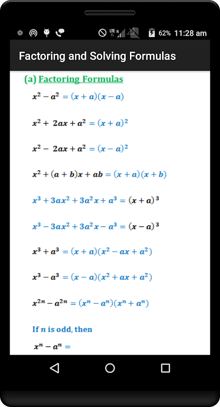
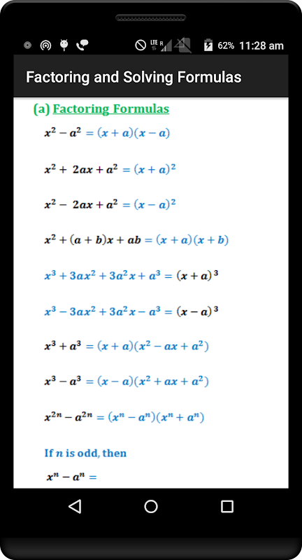
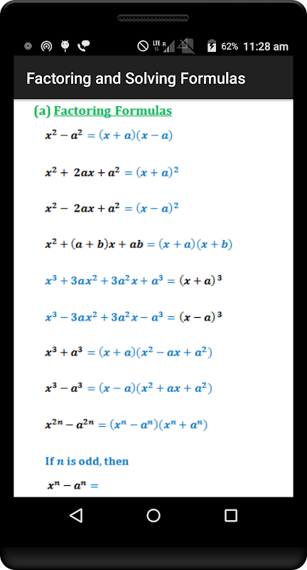
Rumus Pemfaktoran dan Penyelesaian
Metode Anjak Piutang dan Penyelesaian (metode penyelesaian kuadrat, dll...)
Fungsi dan Grafik
Kesalahan Aljabar Umum
GEOMETRI
Titik dan Garis
Sudut
segitiga
Segiempat
Poligon
lingkaran
Koordinat geometri
Rumus Pengukuran
TRIGONOMETRI
Definisi
Fakta dan Properti
Rumus dan Identitas
Lingkaran Satuan
Fungsi Trigonometri Terbalik
Hukum Sinus, Cosinus dan Garis Singgung
KALKULU
Batasan
Derivatif
Integral
Transformasi Laplace
What's new in the latest 3
Informasi APK Math Formulae Pro
Pengunduhan Super cepat dan aman melalui aplikasi APKPure
Sekali klik untuk menginstal file XAPK/APK di Android!







