دربارهی Math Formulae Pro
یک برنامه ضروری برای دانش آموزان و زبان آموزان
این یک نسخه بدون آگهی از Math Formulas Lite است.
لطفاً برای حمایت از توسعه دهندگان، برنامه را خریداری کنید.
Math Formulas Pro یک برنامه منحصر به فرد و جامع است که به ویژه به عنوان یک راه حل یک مرحله ای برای دانش آموزان پایه کالج / کلاس بالاتر طراحی شده است. تمام فرمول ها/موضوعات مهم در جبر، هندسه، مثلثات و حساب دیفرانسیل و انتگرال را فهرست می کند. بررسی منظم این فرمول ها/مفاهیم قطعا به بهبود نمرات شما کمک خواهد کرد.
موضوعات تحت پوشش عبارتند از:
جبر
ویژگی ها و حقایق اساسی
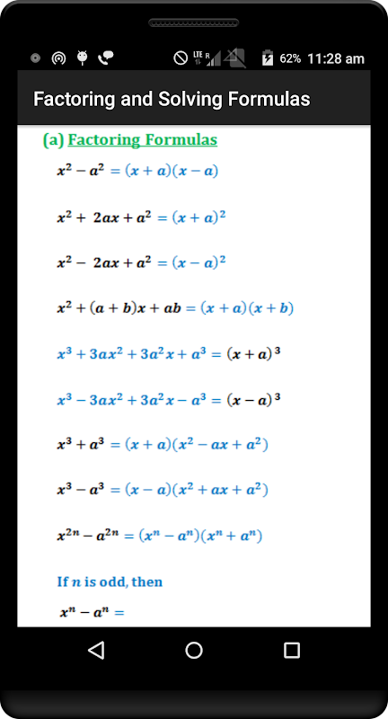
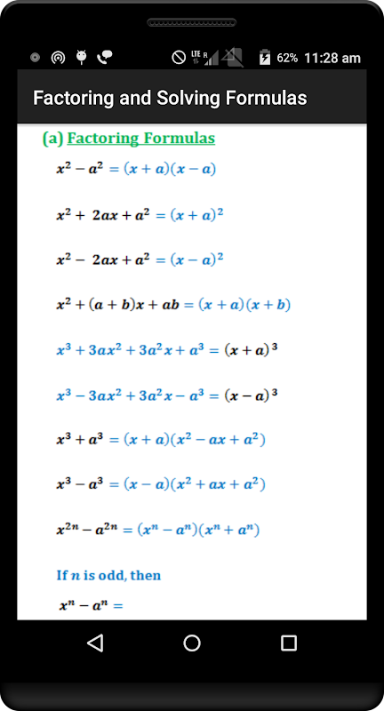
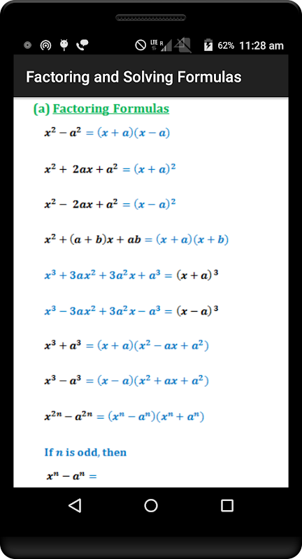
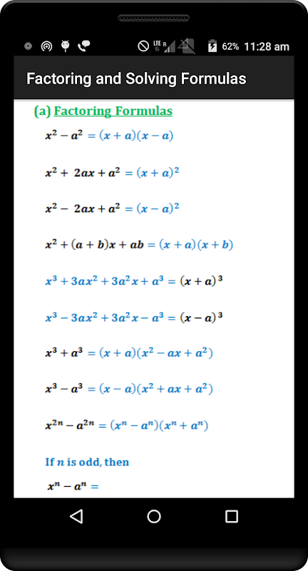
فاکتورگیری و حل فرمول ها
روش های فاکتورگیری و حل (تکمیل روش های مربع و...)
توابع و نمودارها
خطاهای رایج جبری
هندسه
نقاط و خطوط
زاویه
مثلثها
چهار ضلعی
چند ضلعی ها
حلقه ها
هندسه مختصات
فرمول های اندازه گیری
مثلثات
تعاریف
حقایق و خواص
فرمول ها و هویت ها
دایره واحد
توابع مثلثاتی معکوس
قانون سینوس ها، کسینوس ها و مماس ها
حساب دیفرانسیل و انتگرال
محدودیت ها
مشتقات
انتگرال ها
تبدیل لاپلاس
جدیدترین 3 چه خبر است
اطلاعات Math Formulae Pro APK
دانلود فوق سریع و ایمن از طریق برنامه APKPure
برای نصب فایل های XAPK/APK در اندروید با یک کلیک!







