Giới thiệu về Math Formulae Pro
Một ứng dụng phải có cho sinh viên và người học
Đây là phiên bản không có quảng cáo của Công thức toán học Lite.
Vui lòng cân nhắc việc mua ứng dụng để hỗ trợ các nhà phát triển.
Math Formulas Pro là một ứng dụng độc đáo và toàn diện được thiết kế đặc biệt như một giải pháp toàn diện dành cho học sinh lớp Đại học/Cao học. Nó liệt kê tất cả các công thức/chủ đề quan trọng trong Đại số, Hình học, Lượng giác và Giải tích. Việc xem lại thường xuyên các công thức/khái niệm này chắc chắn sẽ giúp cải thiện điểm số của bạn.
Các chủ đề được đề cập bao gồm:
ĐẠI SỐ HỌC
Thuộc tính và sự kiện cơ bản
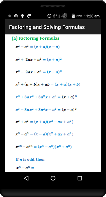
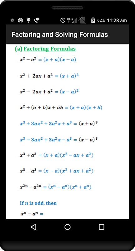
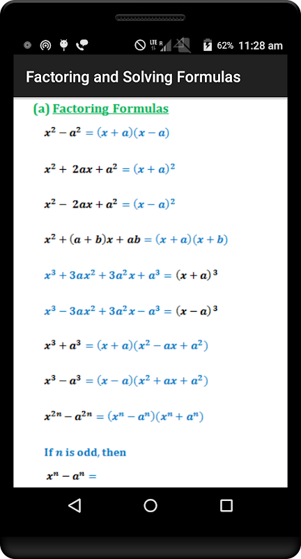
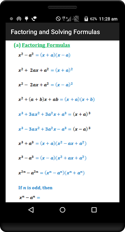
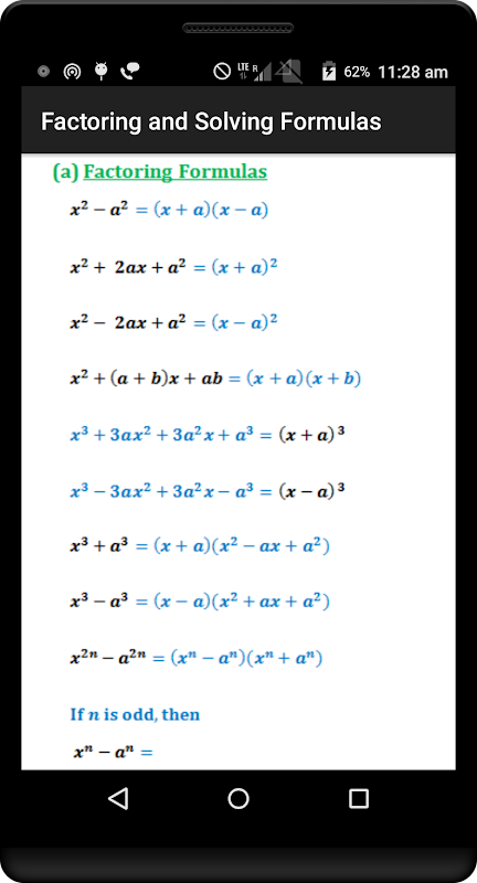
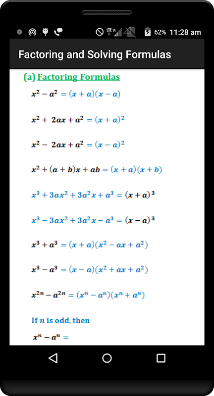
Phân tích nhân tử và giải công thức
Phương pháp phân tích nhân tử và giải (hoàn thành các phương pháp bình phương, v.v.)
Hàm và đồ thị
Các lỗi đại số thường gặp
HÌNH HỌC
Điểm và Đường
góc
Hình tam giác
Tứ giác
Đa giác
Vòng kết nối
Hình học tọa độ
Công thức đo lường
lượng giác
Các định nghĩa
Sự kiện và tính chất
Công thức và nhận dạng
Vòng tròn đơn vị
Hàm lượng giác nghịch đảo
Định luật sin, cos và tang
phép tính
Hạn mức
Các dẫn xuất
tích phân
Phép biến đổi Laplace
What's new in the latest 3
Thông tin APK Math Formulae Pro
Tải xuống siêu nhanh và an toàn thông qua Ứng dụng APKPure
Một cú nhấp chuột để cài đặt các tệp XAPK/APK trên Android!







