Oписание Math Formulae Pro
Обязательное приложение для студентов и учащихся
Это версия Math Formulas Lite без рекламы.
Пожалуйста, рассмотрите возможность приобретения приложения для поддержки разработчиков.
Math Formulas Pro — это уникальное и комплексное приложение, специально разработанное как универсальное решение для студентов колледжей и старших классов. В нем перечислены все важные формулы/темы алгебры, геометрии, тригонометрии и исчисления. Регулярное рассмотрение этих формул/концепций определенно поможет улучшить ваши оценки.
В число затронутых тем входят:
АЛГЕБРА
Основные свойства и факты
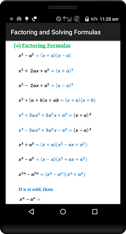
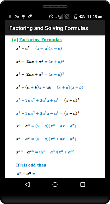
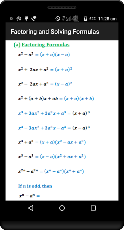
Факторинг и решение формул
Методы факторизации и решения (завершение квадратов и т. д.)
Функции и графики
Распространенные алгебраические ошибки
ГЕОМЕТРИЯ
Точки и линии
Углы
Треугольники
Четырехугольники
Полигоны
Круги
Координатная геометрия
Формулы измерения
ТРИГОНОМЕТРИЯ
Определения
Факты и свойства
Формулы и тождества
Единичный круг
Обратные тригонометрические функции
Закон синусов, косинусов и тангенсов
ИСЧИСЛЕНИЕ
Пределы
Производные
Интегралы
Преобразования Лапласа
Что нового в последней версии 3
Информация Math Formulae Pro APK
Популярные Приложения за Последние 24 Часа
Супер Быстрая и Безопасная Загрузка через Приложение APKPure
Один клик для установки XAPK/APK файлов на Android!







