Sobre este Math Formulae Pro
Um aplicativo obrigatório para estudantes e alunos
Esta é uma versão sem anúncios do Math Formulas Lite.
Considere comprar o aplicativo para apoiar os desenvolvedores.
Math Formulas Pro é um aplicativo exclusivo e abrangente que foi especialmente projetado como uma solução completa para alunos de nível universitário/superior. Ele lista todas as fórmulas/tópicos importantes em Álgebra, Geometria, Trigonometria e Cálculo. A revisão regular dessas fórmulas/conceitos certamente ajudará a melhorar suas notas.
Os tópicos abordados incluem:
ÁLGEBRA
Propriedades e fatos básicos
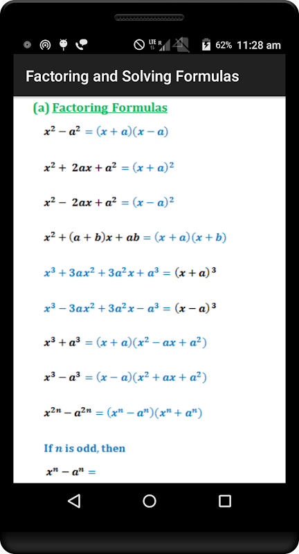
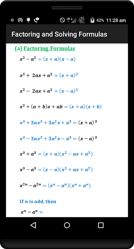
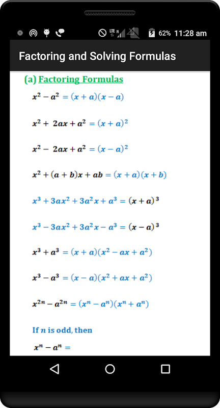
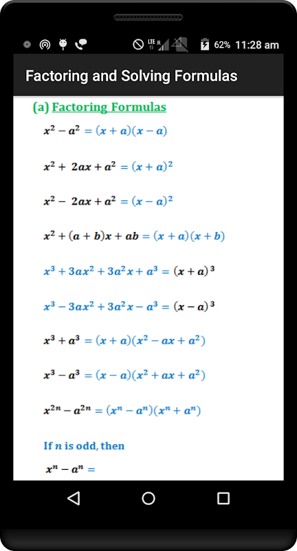
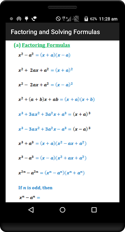
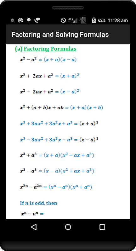
Fatoração e resolução de fórmulas
Métodos de fatoração e resolução (métodos de preenchimento dos quadrados, etc...)
Funções e Gráficos
Erros algébricos comuns
GEOMETRIA
Pontos e Linhas
Ângulos
Triângulos
Quadriláteros
Polígonos
Círculos
Geometria coordenada
Fórmulas de medição
TRIGONOMETRIA
Definições
Fatos e propriedades
Fórmulas e Identidades
Círculo Unitário
Funções trigonométricas inversas
Lei dos Senos, Cossenos e Tangentes
CÁLCULO
Limites
Derivados
Integrais
Transformadas de Laplace
Novidades em 3 mais recente
Informações sobre Math Formulae Pro APK
Baixar de Forma Rápida e Segura via APKPure App
Um clique para instalar arquivos XAPK/APK no Android!







