Informazioni su Math Formulae Pro
Un'app indispensabile per studenti e studenti
Questa è una versione senza pubblicità di Math Formulas Lite.
Ti invitiamo a considerare l'acquisto dell'app per supportare gli sviluppatori.
Math Formulas Pro è un'app unica e completa progettata in particolare come soluzione completa per studenti di livello universitario/superiore. Elenca tutte le formule/argomenti importanti di algebra, geometria, trigonometria e calcolo. Il riesame regolare di queste formule/concetti ti aiuterà sicuramente a migliorare i tuoi voti.
Gli argomenti trattati includono:
ALGEBRA
Proprietà e fatti di base
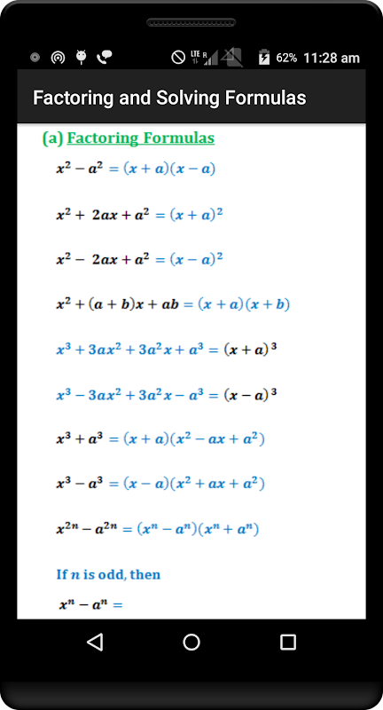
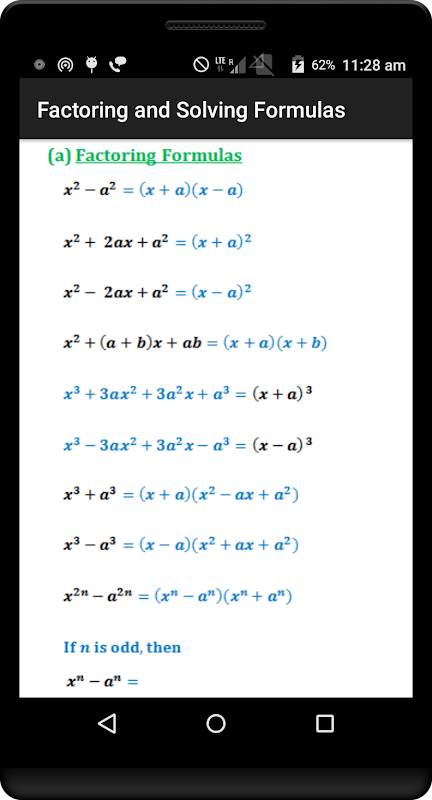
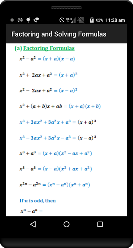
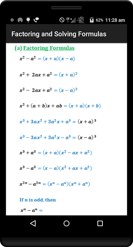
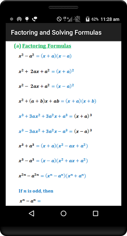
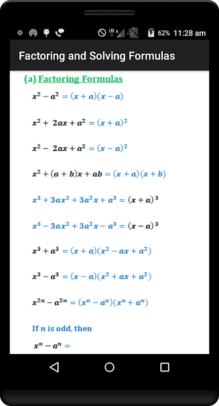
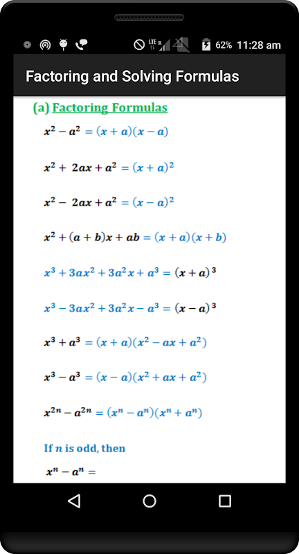
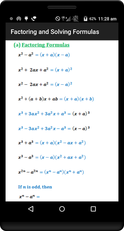
Fattorizzazione e risoluzione di formule
Metodi di fattorizzazione e risoluzione (metodi del completamento dei quadrati ecc...)
Funzioni e grafici
Errori algebrici comuni
GEOMETRIA
Punti e linee
Angoli
triangoli
Quadrilateri
Poligoni
Cerchi
Geometria delle coordinate
Formule di misurazione
TRIGONOMETRIA
Definizioni
Fatti e proprietà
Formule e identità
Cerchio unitario
Funzioni trigonometriche inverse
Legge dei seni, coseni e tangenti
CALCOLO
Limiti
Derivati
Integrali
Trasformate di Laplace
What's new in the latest 3
Informazioni sull'APK Math Formulae Pro
Download super veloce e sicuro tramite l'app APKPure
Basta un clic per installare i file XAPK/APK su Android!







