About Math Formulae Pro
A must have app for students and learners
This is an Ad-free version of Math Formulae Lite.
Please consider purchasing the app to support the developers.
Math Formulae Pro is one unique and comprehensive app that is particularly designed as a one-stop solution for College Grade/Higher Grade Students. It lists out all the important formulas/topics in Algebra, Geometry, Trigonometry and Calculus. Regular review of these formulas/concepts will definitely help improve your grades.
The topics covered include:
ALGEBRA
Basic Properties and Facts
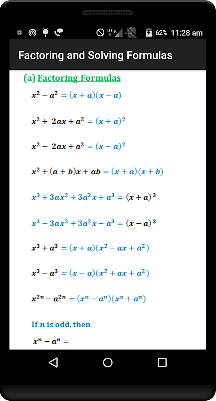
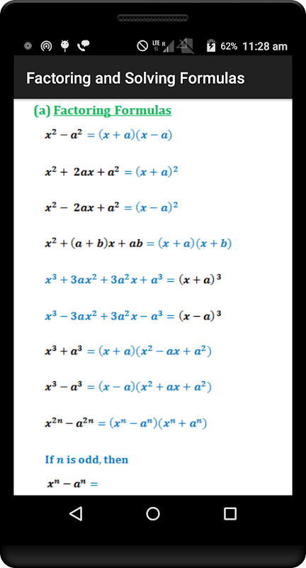
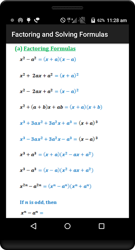
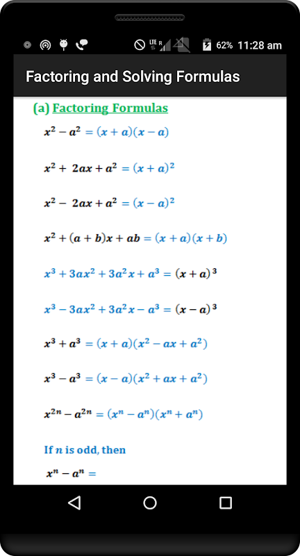
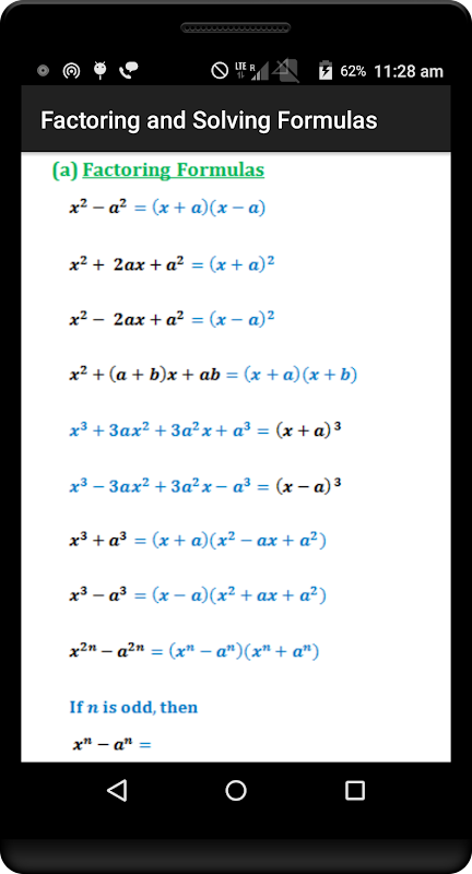
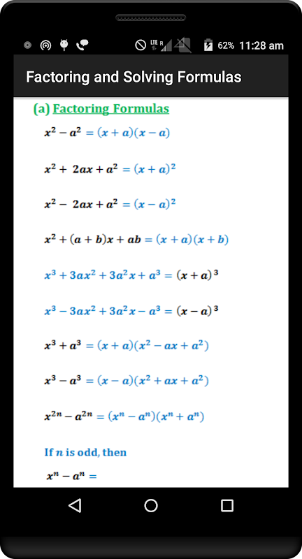
Factoring and Solving Formulas
Factoring and solving Methods (completing the squares methods etc...)
Functions and Graphs
Common Algebraic Errors
GEOMETRY
Points and Lines
Angles
Triangles
Quadrilaterals
Polygons
Circles
Coordinate Geometry
Measurement Formulas
TRIGONOMETRY
Definitions
Facts and Properties
Formulas and Identities
Unit Circle
Inverse Trigonometric Functions
Law of Sines, Cosines and Tangents
CALCULUS
Limits
Derivatives
Integrals
Laplace Transforms
What's new in the latest 3
Math Formulae Pro APK Information
Super Fast and Safe Downloading via APKPure App
One-click to install XAPK/APK files on Android!







