عن Math Formulae Pro
ويجب أن يكون التطبيق للطلاب والمتعلمين
هذه نسخة خالية من الإعلانات من Math Formulas Lite.
يرجى النظر في شراء التطبيق لدعم المطورين.
Math Formulas Pro هو أحد التطبيقات الفريدة والشاملة التي تم تصميمها خصيصًا كحل شامل لطلاب الصفوف الجامعية/الصفوف العليا. وهو يسرد جميع الصيغ / المواضيع الهامة في الجبر والهندسة وعلم المثلثات وحساب التفاضل والتكامل. إن المراجعة المنتظمة لهذه الصيغ/المفاهيم ستساعد بالتأكيد على تحسين درجاتك.
المواضيع التي يتم تناولها تشمل:
الجبر
الخصائص والحقائق الأساسية
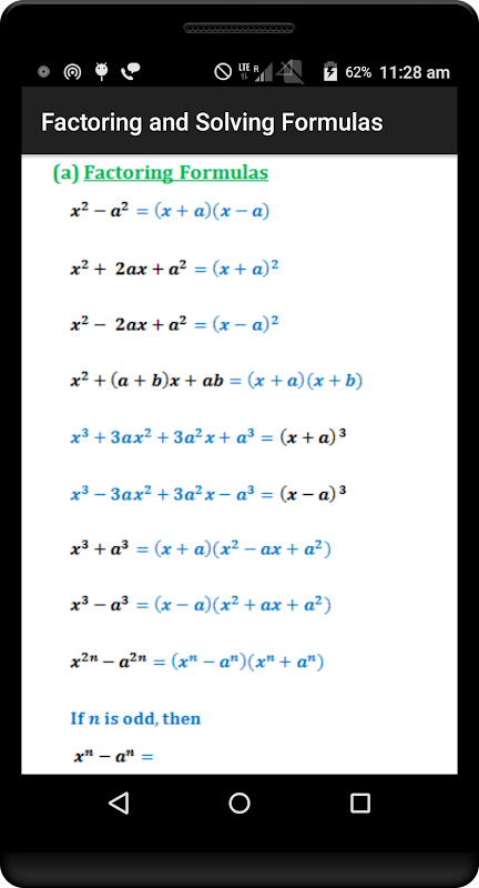
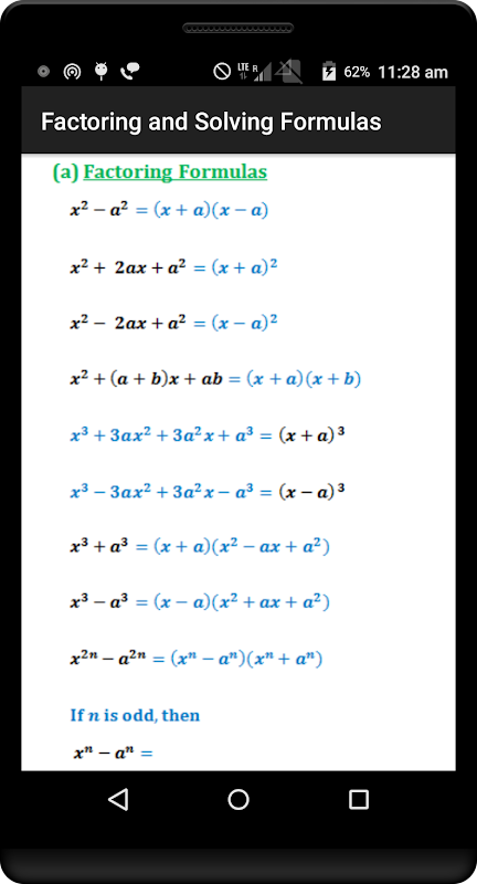
التخصيم وحل الصيغ
طرق التحليل والحل (طرق إكمال المربعات، الخ...)
الوظائف والرسوم البيانية
الأخطاء الجبرية الشائعة
الهندسة
النقاط والخطوط
الزوايا
مثلثات
رباعيات
المضلعات
الدوائر
تنسيق الهندسة
صيغ القياس
علم المثلثات
تعريفات
حقائق وخصائص
الصيغ والهويات
دائرة الوحدة
الدوال المثلثية العكسية
قانون الجيب وجيب التمام والظلال
حساب التفاضل والتكامل
حدود
المشتقات
التكاملات
تحويلات لابلاس
What's new in the latest 3
قم بتنزيل سريع وآمن بالغاية عبر تطبيق APKPure
قم بتثبيت ملفات XAPK/APK بنقرة واحدة على أندرويد!







