Math Formulae Pro hakkında
Öğrenciler ve öğrenciler için mutlaka olması gereken bir uygulama
Bu, Matematik Formülleri Lite'ın reklamsız bir sürümüdür.
Lütfen geliştiricileri desteklemek için uygulamayı satın almayı düşünün.
Matematik Formülleri Pro, özellikle Üniversite Sınıfı/Yüksek Sınıf Öğrencileri için tek noktadan çözüm olarak tasarlanmış benzersiz ve kapsamlı bir uygulamadır. Cebir, Geometri, Trigonometri ve Matematikteki tüm önemli formülleri/konuları listeler. Bu formüllerin/kavramların düzenli olarak gözden geçirilmesi kesinlikle notlarınızı yükseltmenize yardımcı olacaktır.
Kapsanan konular şunlardır:
CEBİR
Temel Özellikler ve Gerçekler
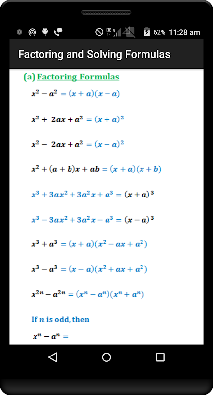
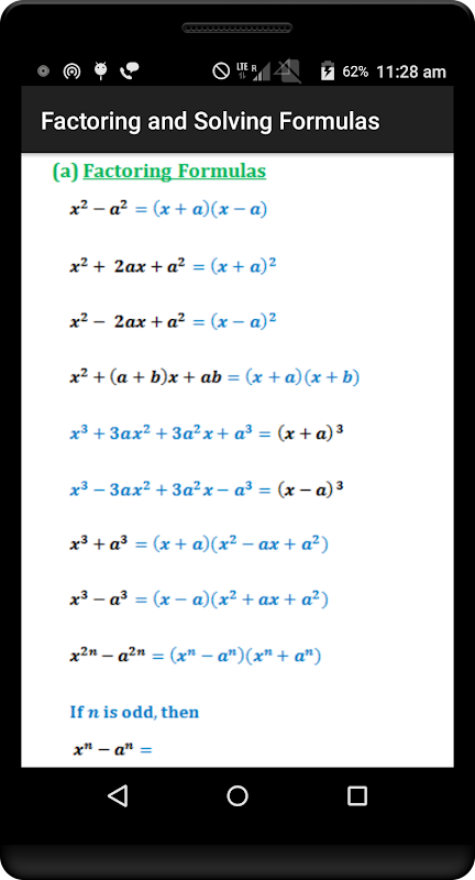
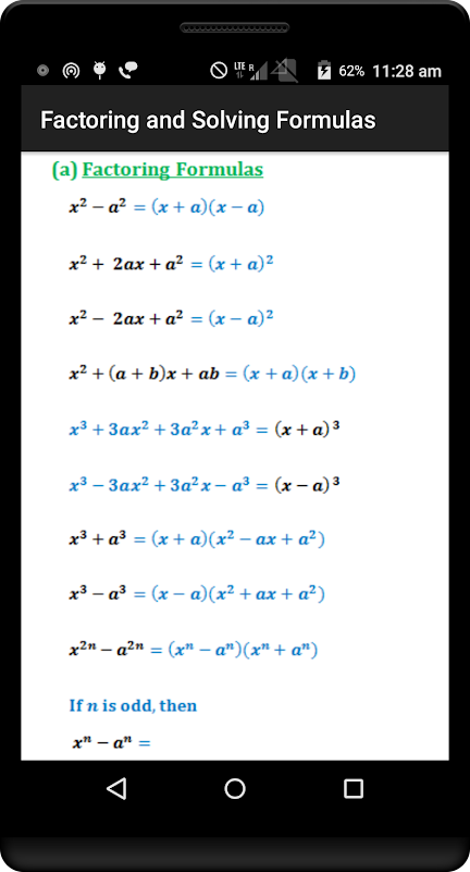
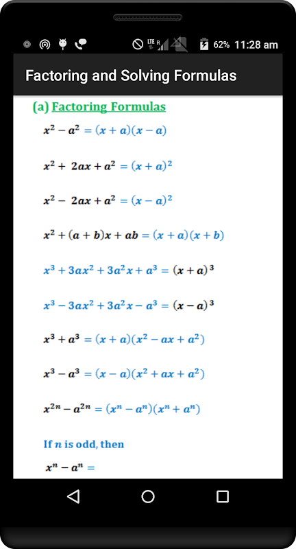
Faktoring ve Çözme Formülleri
Çarpanlara ayırma ve çözme yöntemleri (karelere tamamlama yöntemleri vb...)
Fonksiyonlar ve Grafikler
Yaygın Cebirsel Hatalar
GEOMETRİ
Noktalar ve Çizgiler
Açılar
üçgenler
Dörtgenler
Çokgenler
Çevreler
Koordinat Geometrisi
Ölçüm Formülleri
TRİGONOMETRİ
Tanımlar
Gerçekler ve Özellikler
Formüller ve Kimlikler
Birim çember
Ters Trigonometrik Fonksiyonlar
Sinüs, Kosinüs ve Teğet Yasası
HESAP
Sınırlar
Türevler
İntegraller
Laplace Dönüşümleri
What's new in the latest 3
Math Formulae Pro APK Bilgileri
APK Uygulaması ile Süper Hızlı ve Güvenli İndirme
XAPK/APK dosyalarını Android'e yüklemek için tek tıkla!







