Over Theoretische fysica
Theoretische fysici zijn nogal typische wetenschappers
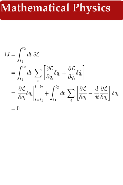
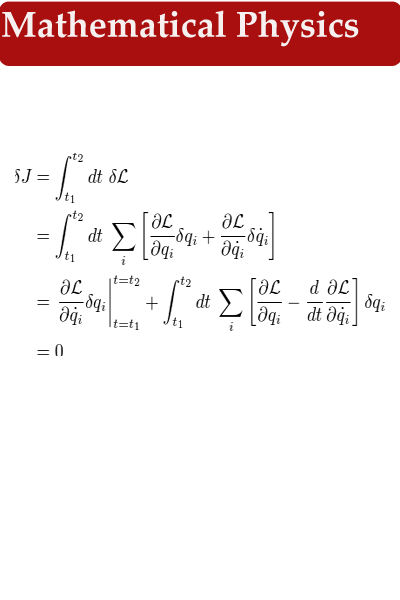
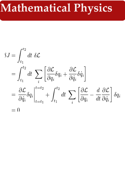
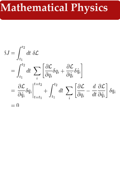
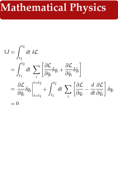
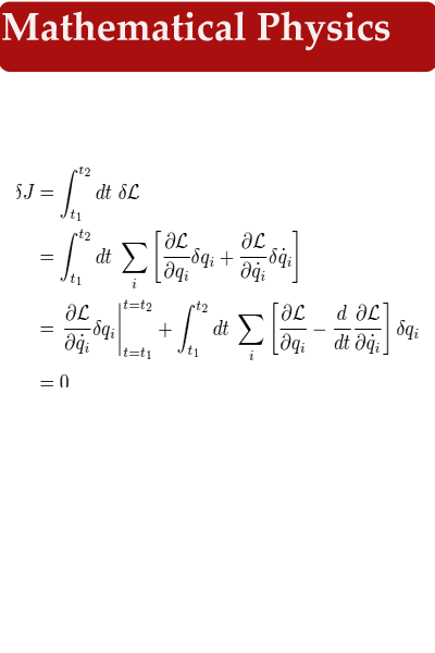
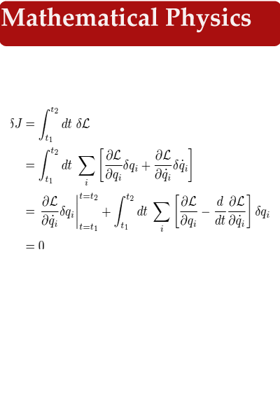
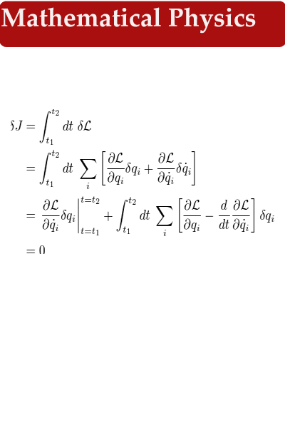
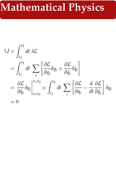
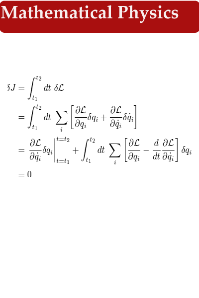
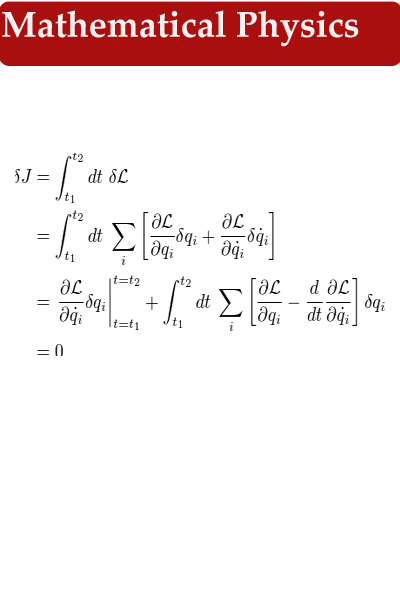
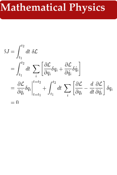
Theoretische fysica is een tak van de natuurkunde die wiskundige modellen en abstracties van fysieke objecten en systemen maakt gebruik van te rationaliseren, verklaren en voorspellen van natuurverschijnselen. Dit in tegenstelling tot experimentele natuurkunde, die experimentele instrumenten gebruikt om deze verschijnselen te onderzoeken.
De vooruitgang van de wetenschap in het algemeen afhankelijk van de wisselwerking tussen experimentele studies en theorie. In sommige gevallen is de theoretische natuurkunde houdt zich aan de normen van de wiskundige discipline terwijl het geven van weinig gewicht aan experimenten en waarnemingen. Terwijl bijvoorbeeld de ontwikkeling van speciale relativiteit, Albert Einstein betrekking op de Lorentztransformatie die Maxwell vergelijkingen verlaten invariant, maar blijkbaar niet geïnteresseerd in de Michelson-Morley experiment drift aarde via een ether. [Nodig citaat] Omgekeerd Einstein werd toegekend Nobelprijs voor uitleggen van de foto-elektrisch effect, eerder een experimenteel resultaat zonder een theoretische formulering.
What's new in the latest 60.0
Theoretische fysica APK -informatie
Oude versies van Theoretische fysica
Theoretische fysica 60.0
Theoretische fysica 43.0
Theoretische fysica 35.0
Theoretische fysica 27.0
Supersnel en veilig downloaden via de APKPure-app
Eén klik om XAPK/APK-bestanden op Android te installeren!




