About Theoretical physics
نظریاتی طبیعیات بجائے عام سائنس دان ہیں
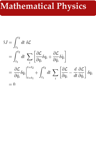
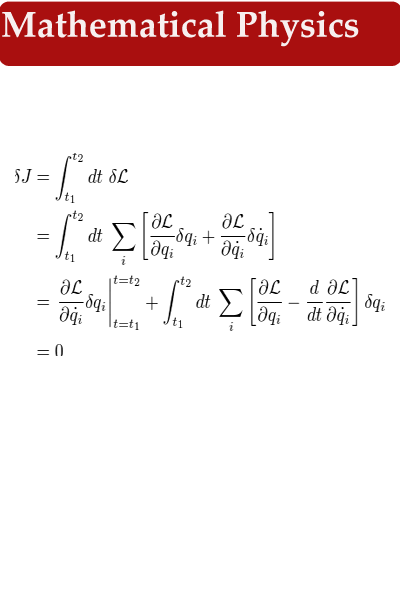
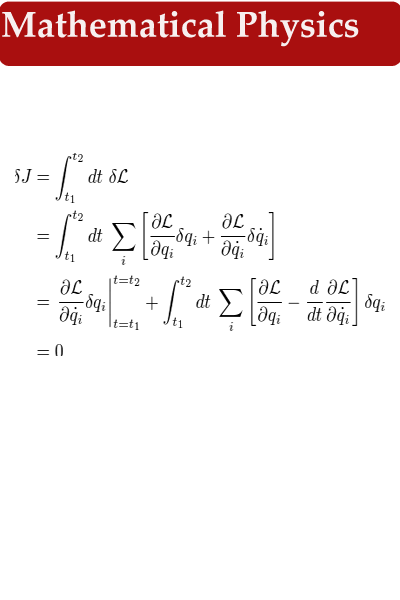
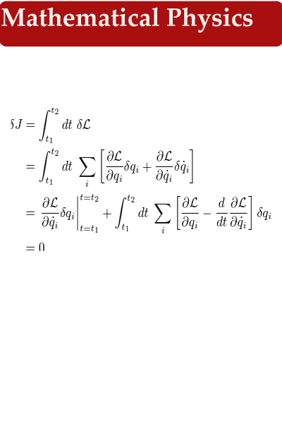
نظریاتی طبیعیات طبیعیات کی ایک شاخ ہے جو طبعی مظاہر کی عقلی بحث ، وضاحت اور پیش گوئی کے لئے ریاضی کے ماڈل اور جسمانی اشیاء اور نظاموں کی تجریدوں کو ملازمت دیتی ہے۔ یہ تجرباتی طبیعیات کے برعکس ہے ، جو ان مظاہر کی تحقیقات کے لئے تجرباتی اوزار استعمال کرتا ہے۔
سائنس کی ترقی کا انحصار عام طور پر تجرباتی مطالعات اور نظریہ کے مابین ہونے والے باہمی روابط پر ہوتا ہے۔ کچھ معاملات میں ، نظریاتی طبیعیات تجربات اور مشاہدات کو کم وزن دیتے ہوئے ریاضی کی سختی کے معیاروں پر عمل پیرا ہے۔ مثال کے طور پر ، خصوصی نسبت پیدا کرنے کے دوران ، البرٹ آئن اسٹائن کا تعلق لورینٹز کی تبدیلی سے تھا جس نے میکسویل کی مساوات کو ناگوار چھوڑ دیا ، لیکن ایک برائٹ آسمان کے ذریعہ زمین کے بہاؤ پر مائیکلسن – مورلی کے تجربے میں بظاہر اس میں دلچسپی نہیں لائی گئی۔ [حوالہ کی ضرورت] اس کے برعکس ، آئن اسٹائن کو اعزاز سے نوازا گیا فوٹو الیکٹرک اثر کی وضاحت کرنے کے لئے نوبل انعام ، اس سے قبل ایک تجرباتی نتیجہ میں نظریاتی تشکیل کی کمی ہے۔
What's new in the latest 60.0
Theoretical physics APK معلومات
کے پرانے ورژن Theoretical physics
Theoretical physics 60.0
Theoretical physics 43.0
Theoretical physics 35.0
Theoretical physics 27.0
APKPure ایپکےذریعےانتہائی تیزاورمحفوظڈاؤنلوڈنگ
Android پر XAPK/APK فائلیںانسٹالکرنےکےلیےایککلککریں!




