Class 10 Maths Solution Notes
29.8 MB
ফাইলের আকার
Everyone
Android 7.1+
Android OS
Class 10 Maths Solution Notes সম্পর্কে
ক্লাস 10 গণিত NCERT সমাধান: গণিত নোট, Imp প্রশ্ন/A, অতীতের প্রশ্নপত্র, NCERT বই
দশম শ্রেণির গণিত সমাধান ও নোট
আমাদের অ্যাপটিতে রয়েছে এনসিইআরটি সলিউশন, নোট, এমসিকিউ কুইজ, পুরানো প্রশ্নপত্র, গুরুত্বপূর্ণ প্রশ্ন/উ, এনসিইআরটি বই যা বিহার বোর্ড এবং ইউপি বোর্ড-এও ব্যবহৃত হয়
গণিত অ্যাপের মূল বৈশিষ্ট্য:
✅ এনসিইআরটি সমাধান: ধাপে ধাপে অধ্যায় সমাধান
📝 দ্রুত নোট: সংক্ষিপ্ত বিষয়ের সারাংশ এবং মূল পয়েন্ট
500+ MCQ: বিস্তারিত সমাধান সহ প্রশ্ন অনুশীলন করুন
📜 পূর্ববর্তী প্রশ্নপত্র: সমাধান সহ প্রকৃত পরীক্ষার প্রশ্নপত্র
📖 অন্তর্নির্মিত পাঠ্যপুস্তক: সম্পূর্ণ NCERT পাঠ্যপুস্তক অন্তর্ভুক্ত
🔄 দ্বৈত সিলেবাস: পুরাতন এবং নতুন সিলেবাসের সাথে সামঞ্জস্যপূর্ণ
🚀 অফলাইনে কাজ করে: ইন্টারনেটের প্রয়োজন নেই, স্টোরেজের আলো
অধ্যায় 1: বাস্তব সংখ্যা
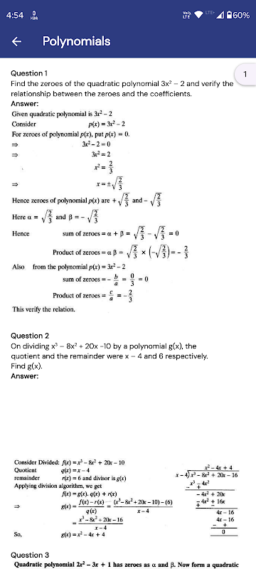
অধ্যায় 2: বহুপদ
অধ্যায় 3: দুটি চলকের রৈখিক সমীকরণের জোড়া
অধ্যায় 4: দ্বিঘাত সমীকরণ
অধ্যায় 5: পাটিগণিতের অগ্রগতি
অধ্যায় 6: ত্রিভুজ
অধ্যায় 7: জ্যামিতি সমন্বয় করুন
অধ্যায় 8: ত্রিকোণমিতির ভূমিকা
অধ্যায় 9: ত্রিকোণমিতির কিছু প্রয়োগ
অধ্যায় 10: চেনাশোনা
অধ্যায় 11: নির্মাণ
অধ্যায় 12: বৃত্তের সাথে সম্পর্কিত এলাকা
অধ্যায় 13: সারফেস এরিয়াস এবং ভলিউম
অধ্যায় 14: পরিসংখ্যান
অধ্যায় 15: সম্ভাবনা
আমাদের বিস্তৃত সমাধান অ্যাপ সহ মাস্টার ক্লাস 10 ম্যাথস, বিশেষভাবে সিবিএসই শিক্ষার্থীদের জন্য ডিজাইন করা হয়েছে। বিশদ অধ্যায়-ভিত্তিক সমাধানগুলি অন্বেষণ করুন যা জটিল সমস্যাগুলিকে সহজ ধাপে বিভক্ত করে, শেখার সহজ এবং আরও কার্যকর করে। সুগঠিত নোটগুলি অ্যাক্সেস করুন, আগের বছরের কাগজপত্রের সাথে অনুশীলন করুন এবং ইন্টারেক্টিভ লার্নিং মডিউলগুলির মাধ্যমে আপনার গণিত ভিত্তিকে শক্তিশালী করুন। বীজগণিত থেকে ত্রিকোণমিতি পর্যন্ত, প্রতিটি ধারণাকে উদাহরণ এবং ধাপে ধাপে সমাধান দিয়ে পুঙ্খানুপুঙ্খভাবে ব্যাখ্যা করা হয়েছে।
এখনই ক্লাস 10 গণিত অ্যাপের অভিজ্ঞতা নিন 💯
দাবিত্যাগ: এই অ্যাপ্লিকেশনটি এনসিইআরটি বা অন্য কোনো সরকারী সংস্থা, শিক্ষা প্রতিষ্ঠান বা সংস্থার সাথে যুক্ত, অনুমোদিত বা অনুমোদিত নয়। এটি একটি স্বাধীন শিক্ষাগত সম্পদ এবং সমস্ত বিষয়বস্তু শুধুমাত্র তথ্যের উদ্দেশ্যে প্রদান করা হয়।
What's new in the latest 4.33
MCQs with Solution Added 🚀
Class 10 Maths Solution Notes APK Information
Class 10 Maths Solution Notes এর পুরানো সংস্করণ
Class 10 Maths Solution Notes 4.33
Class 10 Maths Solution Notes 4.31
Class 10 Maths Solution Notes 4.11
Class 10 Maths Solution Notes 3.51
APKPure অ্যাপের মাধ্যমে অতি দ্রুত এবং নিরাপদ ডাউনলোড করা হচ্ছে
Android-এ XAPK/APK ফাইল ইনস্টল করতে এক-ক্লিক করুন!







