Math Formulae Pro সম্পর্কে
শিক্ষার্থী এবং শিক্ষার্থীদের জন্য একটি অ্যাপ থাকা আবশ্যক
এটি গণিত সূত্র লাইটের একটি বিজ্ঞাপন-মুক্ত সংস্করণ।
ডেভেলপারদের সমর্থন করার জন্য অ্যাপটি কেনার কথা বিবেচনা করুন।
Math Formulas Pro হল একটি অনন্য এবং ব্যাপক অ্যাপ যা বিশেষ করে কলেজ গ্রেড/হায়ার গ্রেডের ছাত্রদের জন্য ওয়ান-স্টপ সমাধান হিসেবে ডিজাইন করা হয়েছে। এটি বীজগণিত, জ্যামিতি, ত্রিকোণমিতি এবং ক্যালকুলাসের সমস্ত গুরুত্বপূর্ণ সূত্র/বিষয় তালিকাভুক্ত করে। এই সূত্র/ধারণাগুলির নিয়মিত পর্যালোচনা অবশ্যই আপনার গ্রেড উন্নত করতে সাহায্য করবে।
আচ্ছাদিত বিষয় অন্তর্ভুক্ত:
বীজগণিত
মৌলিক বৈশিষ্ট্য এবং তথ্য
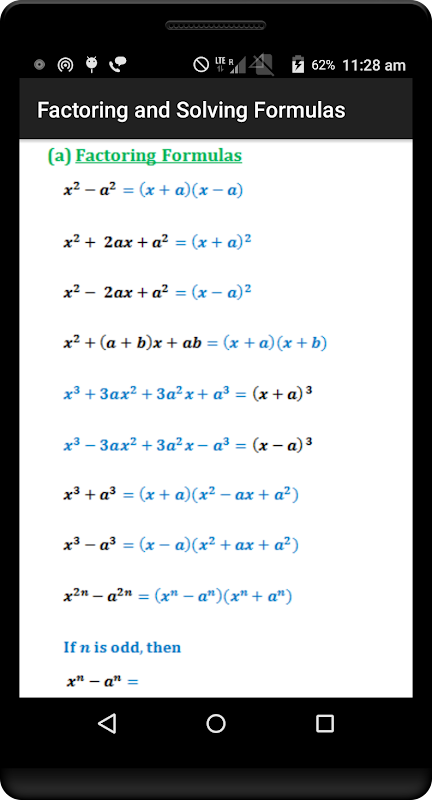
ফ্যাক্টরিং এবং সমাধান সূত্র
ফ্যাক্টরিং এবং সমাধানের পদ্ধতি (স্কোয়ার পদ্ধতিগুলি সম্পূর্ণ করা ইত্যাদি...)
ফাংশন এবং গ্রাফ
সাধারণ বীজগণিত ত্রুটি
জ্যামিতি
পয়েন্ট এবং লাইন
কোণ
ত্রিভুজ
চতুর্ভুজ
বহুভুজ
চেনাশোনা
স্থানাঙ্ক জ্যামিতি
পরিমাপের সূত্র
ত্রিকোণমিতি
সংজ্ঞা
তথ্য এবং বৈশিষ্ট্য
সূত্র এবং পরিচয়
ইউনিট সার্কেল
বিপরীত ত্রিকোণমিতিক ফাংশন
সাইন, কোসাইন এবং স্পর্শক আইন
ক্যালকুলাস
সীমা
ডেরিভেটিভস
অখণ্ড
ল্যাপ্লেস রূপান্তর
What's new in the latest 3
Math Formulae Pro APK Information
APKPure অ্যাপের মাধ্যমে অতি দ্রুত এবং নিরাপদ ডাউনলোড করা হচ্ছে
Android-এ XAPK/APK ফাইল ইনস্টল করতে এক-ক্লিক করুন!







