Over Math Formulae Pro
Een must-have app voor studenten en leerlingen
Dit is een advertentievrije versie van Math Formulas Lite.
Overweeg alstublieft de app aan te schaffen om de ontwikkelaars te ondersteunen.
Math Formulas Pro is een unieke en uitgebreide app die speciaal is ontworpen als een alles-in-één oplossing voor studenten in de hogere klassen. Het bevat alle belangrijke formules/onderwerpen in Algebra, Meetkunde, Trigonometrie en Calculus. Regelmatige evaluatie van deze formules/concepten zal zeker helpen om je cijfers te verbeteren.
De behandelde onderwerpen zijn onder meer:
ALGEBRA
Basiseigenschappen en feiten
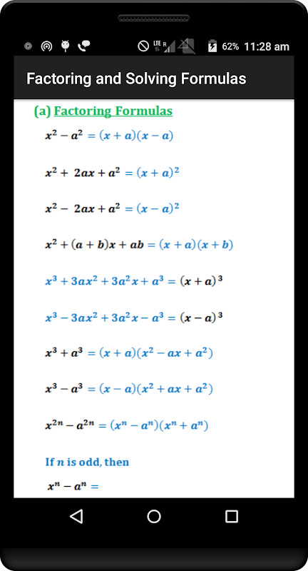
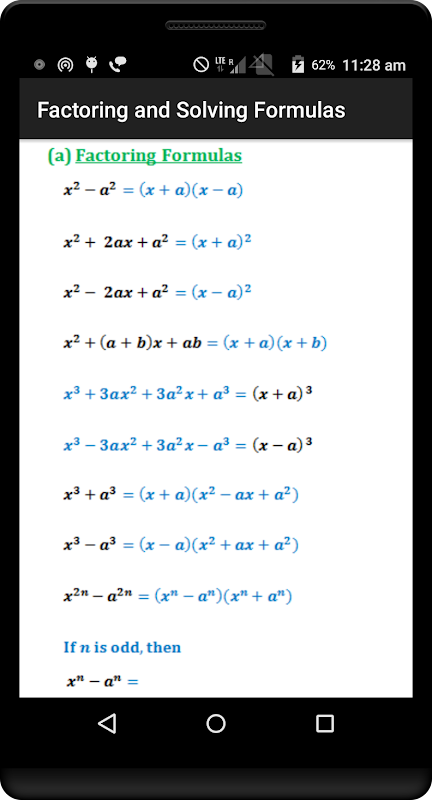
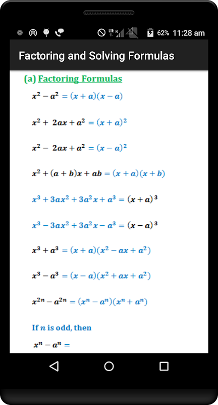
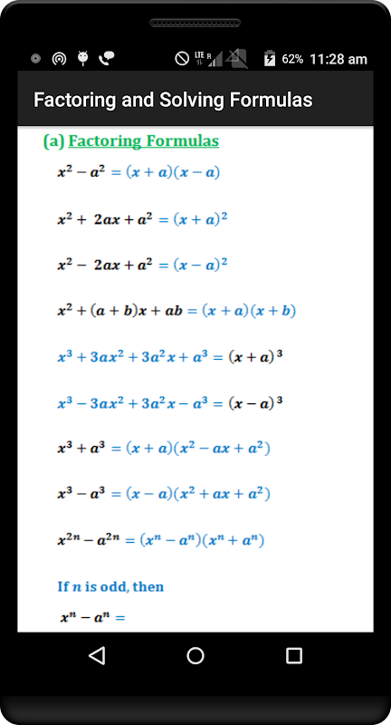
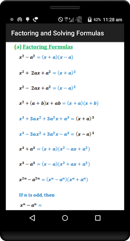
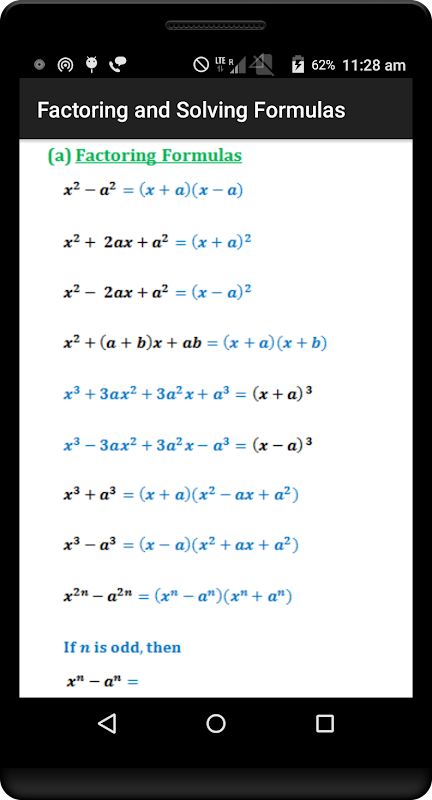
Formules ontbinden en oplossen
Methoden voor ontbinden in factoren en oplossen (het invullen van de kwadratenmethoden enz...)
Functies en grafieken
Veelvoorkomende algebraïsche fouten
GEOMETRIE
Punten en lijnen
Hoeken
Driehoeken
Vierhoeken
Veelhoeken
Cirkels
Coördineer geometrie
Meetformules
TRIGONOMETRIE
Definities
Feiten en eigenschappen
Formules en identiteiten
Eenheidscirkel
Inverse trigonometrische functies
Wet van sinussen, cosinussen en raaklijnen
BEREKENING
Grenzen
Derivaten
Integralen
Laplace-transformaties
What's new in the latest 3
Math Formulae Pro APK -informatie
Supersnel en veilig downloaden via de APKPure-app
Eén klik om XAPK/APK-bestanden op Android te installeren!







