Mengenai Math Formulae Pro
Apl yang mesti ada untuk pelajar dan pelajar
Ini ialah versi Math Formulas Lite tanpa iklan.
Sila pertimbangkan untuk membeli apl untuk menyokong pembangun.
Math Formulas Pro ialah satu aplikasi unik dan komprehensif yang direka khas sebagai penyelesaian sehenti untuk Pelajar Gred Kolej/Gred Tinggi. Ia menyenaraikan semua formula/topik penting dalam Algebra, Geometri, Trigonometri dan Kalkulus. Semakan tetap formula/konsep ini pasti akan membantu meningkatkan gred anda.
Topik yang dibincangkan termasuk:
ALGEBRA
Sifat dan Fakta Asas
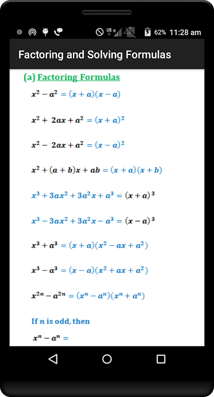
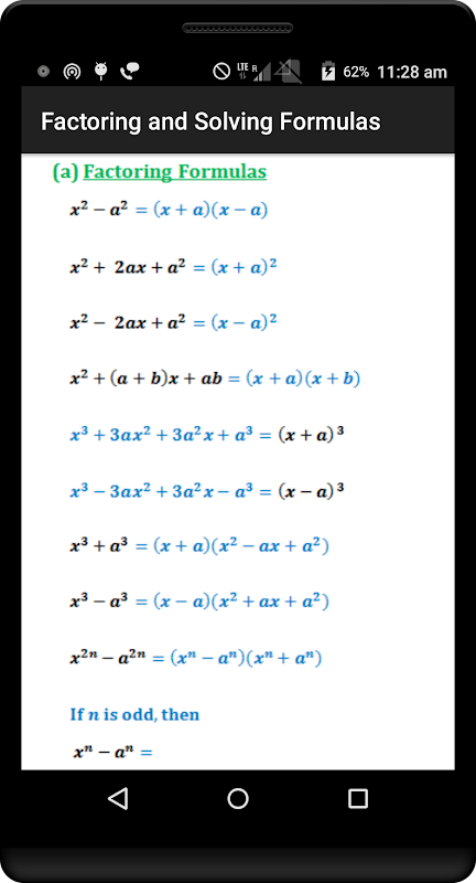
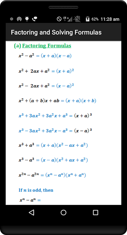
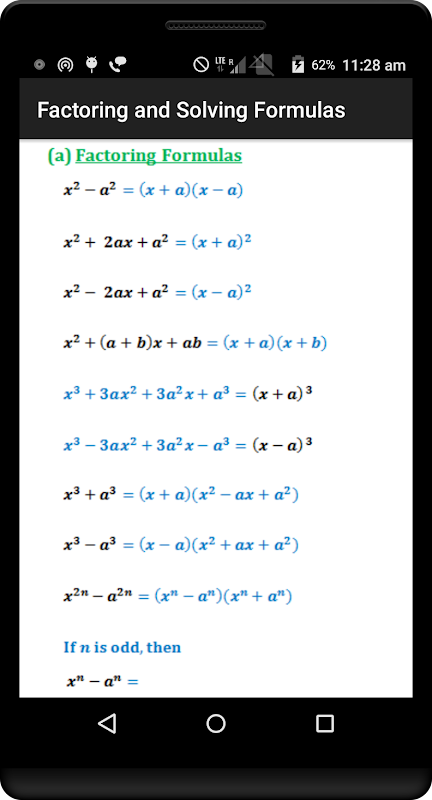
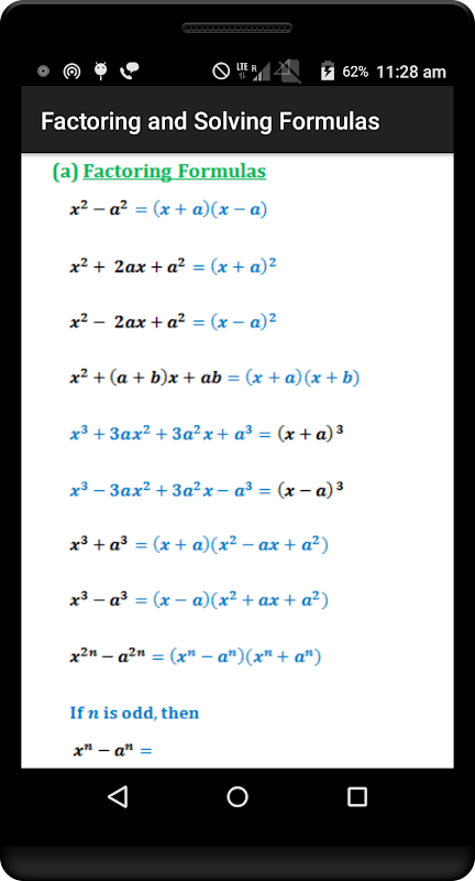
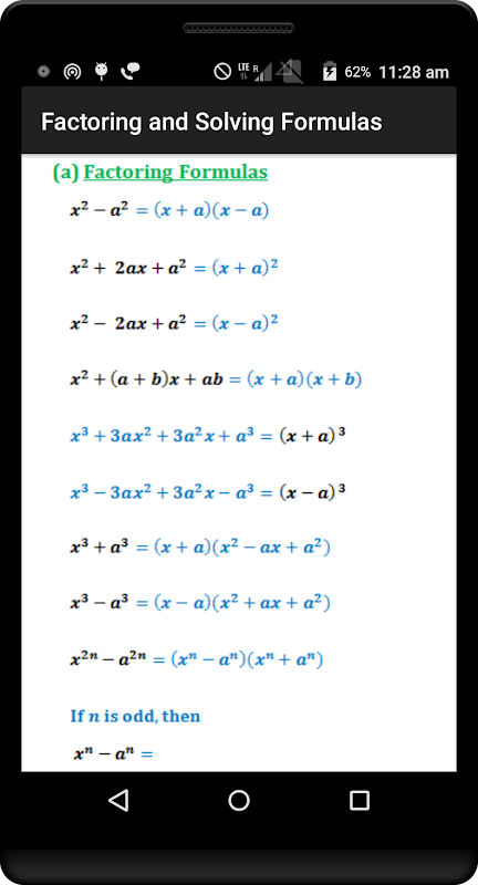
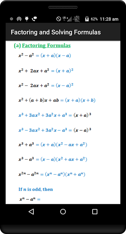
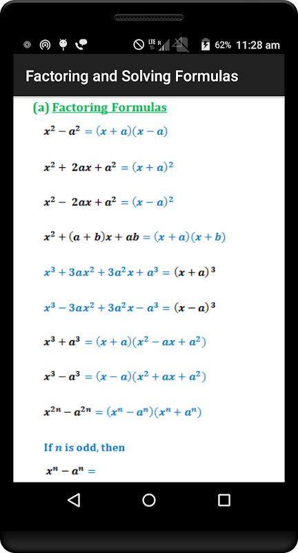
Formula pemfaktoran dan Penyelesaian
Kaedah pemfaktoran dan penyelesaian (melengkapkan kaedah kuasa dua dll...)
Fungsi dan Graf
Ralat Algebra Biasa
GEOMETRI
Titik dan Garis
Sudut
Segi tiga
segi empat
Poligon
Kalangan
Geometri Koordinat
Formula Pengukuran
TRIGONOMETRI
Definisi
Fakta dan Sifat
Formula dan Identiti
Bulatan Unit
Fungsi Trigonometri Songsang
Hukum Sinus, Kosinus dan Tangen
KALKULUS
had
Derivatif
Kamiran
Laplace Transforms
What's new in the latest 3
Maklumat APK Math Formulae Pro
Muat Turun Super Pantas dan Selamat melalui Apl APKPure
Satu klik untuk memasang fail XAPK/APK pada Android!







