Class 12 Maths NCERT Solutions
26.2 MB
Taille de fichier
Everyone
Android 4.4+
Android OS
À propos de Class 12 Maths NCERT Solutions
NCERT Solutions pour la classe 12 Mathématiques
Le Conseil national de la recherche et formation (NCERT) définit le programme pour toutes les écoles qui suivent le Conseil central de l'enseignement secondaire (CBSE) à travers la nation. solutions NCERT pour la classe 12 Mathématiques a été écrit pour aider les élèves à comprendre tous les problèmes dans les manuels prescrits par NCERT. La classe 12 solutions mathématiques NCERT aident les élèves à résoudre les exercices donnés dans les manuels et obtenir de bonnes notes dans leur examen du conseil d'administration. Il couvre les questions de 13 chapitres importants du manuel NCERT, fournissant les problèmes et leurs solutions mathématiques solutions.Class 12 NCERT couvre les chapitres tels que l'intégration, la différenciation, l'algèbre et d'autres. L'application est structuré en une étape par étape et de façon logique, qui permet l'étudiant de comprendre les concepts facilement.
NCERT Classe 12 Mathématiques Chapitre-sages Solutions
Chapitre 1 - Relations et fonctions
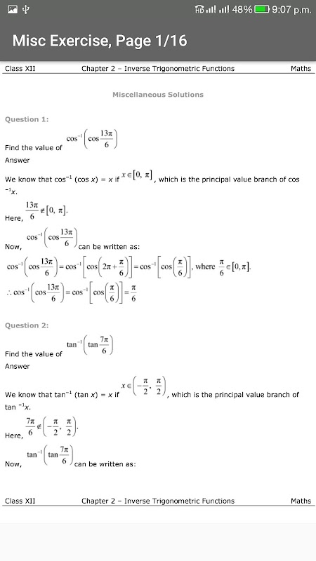
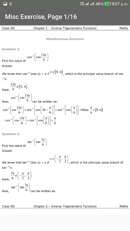
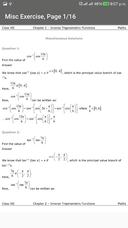
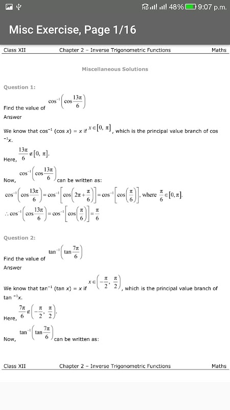
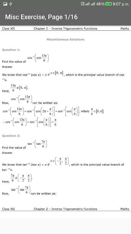
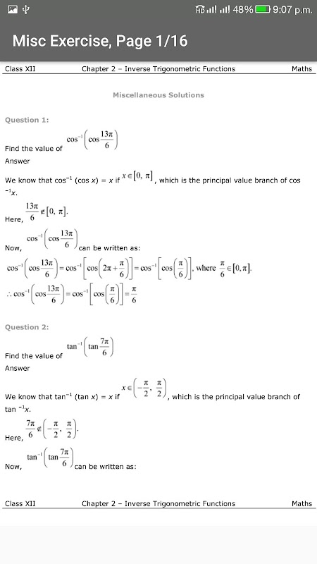
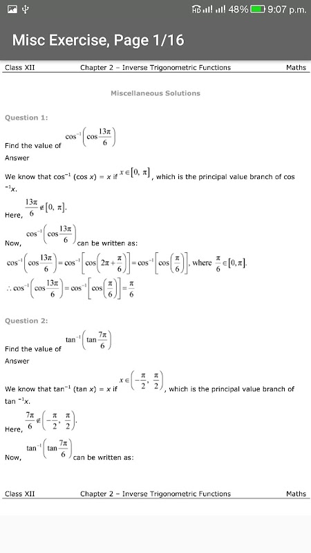
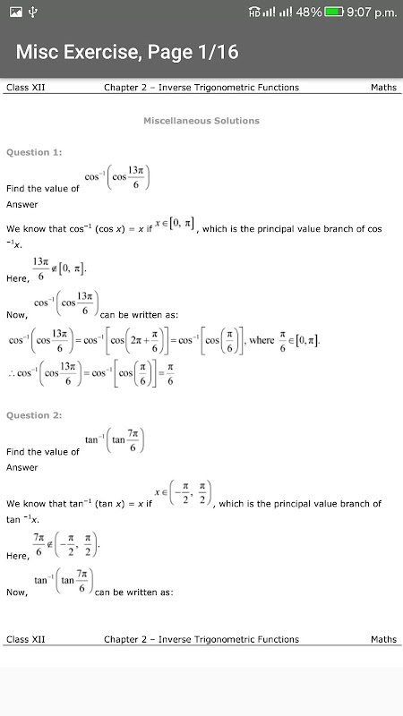
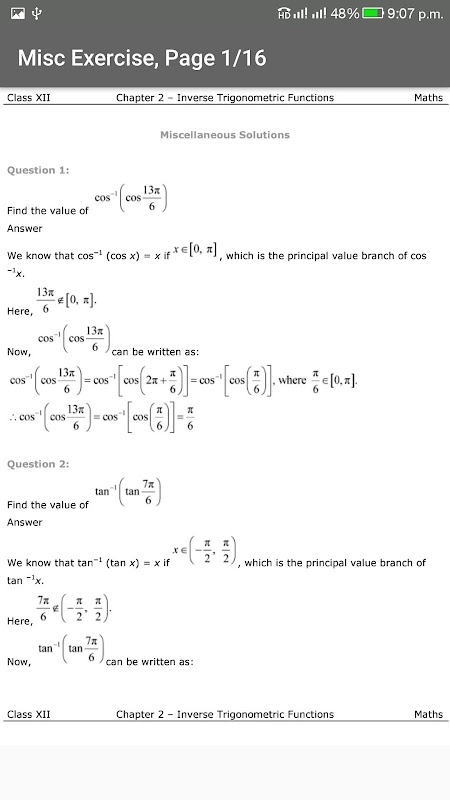
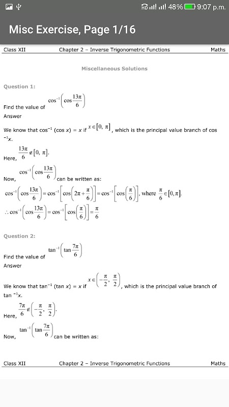
Chapitre 2 - Fonctions trigonométriques inverses
Chapitre 3 - Matrices
Chapitre 4 - déterminants
Chapitre 5 - Continuité et différentiabilité
Chapitre 6 - Application des produits dérivés
Chapitre 7 - Intégrales
Chapitre 8 - Application de Intégrales
Chapitre 9 - Les équations différentielles
Chapitre 10 - Algèbre Vecteur
Chapitre 11 - géométrie tridimensionnelle
Chapitre 12 - Programmation linéaire
Chapitre 13 - Probabilité
Les mathématiques ont été pertinentes à l'humanité depuis les temps anciens. Saviez-vous que les archéologues ont découvert qu'un système de numérotation utilisé par la civilisation vallée de l'Indus? Ils ont utilisé cela pour le commerce et le commerce avec les différentes parties du monde. Aujourd'hui, les mathématiques revêt une importance dans presque tous les aspects de la vie quotidienne. Quand nous allons au supermarché, nous utilisons inévitablement le système numérique pour calculer notre facture totale. Lorsqu'un enseignant prend la présence en classe, ils calculent le nombre d'étudiants sont présents en classe et ainsi de suite. Il est un excellent guide qui peut être utilisé pour préparer les examens CBSE, ainsi que les examens d'entrée technique comme JEE. Les solutions sont très utiles au cours des études individuelles ou en groupe, enseigner aux élèves meilleure façon d'aborder un problème. Les mathématiques solutions NCERT classe 12 est une aide qui devrait compléter les élèves manuels scolaires et les aider à comprendre les problèmes beaucoup mieux. Il agit comme une passerelle à l'esprit de l'examinateur.
What's new in the latest 1.5
Informations Class 12 Maths NCERT Solutions APK
Vieilles versions de Class 12 Maths NCERT Solutions
Class 12 Maths NCERT Solutions 1.5
Class 12 Maths NCERT Solutions 1.4
Class 12 Maths NCERT Solutions 1.3
Class 12 Maths NCERT Solutions 1.2
Téléchargement super rapide et sûr via l'application APKPure
Un clic pour installer les fichiers XAPK/APK sur Android!



