About Class 12 Maths NCERT Solutions
NCERT Solutions for Class 12 Maths
The National Council of Education Research and Training (NCERT) sets the curriculum for all schools that follow the Central Board of Secondary Education (CBSE) across the nation. NCERT solutions for class 12 Maths has been written to help students understand all the problems in the textbooks prescribed by NCERT. The class 12 maths NCERT solutions help students solve the exercises given in the textbooks and get good marks in their board exam. It covers questions from 13 important chapters from the NCERT textbook, providing both problems and their solutions.Class 12 maths NCERT solutions covers chapters such as Integration, Differentiation, Algebra and others. The app is structured in a step-by-step and logical manner, which allows the student to understand the concepts easily.
NCERT Class 12 Maths Chapter-wise Solutions
Chapter 1 - Relations and Functions
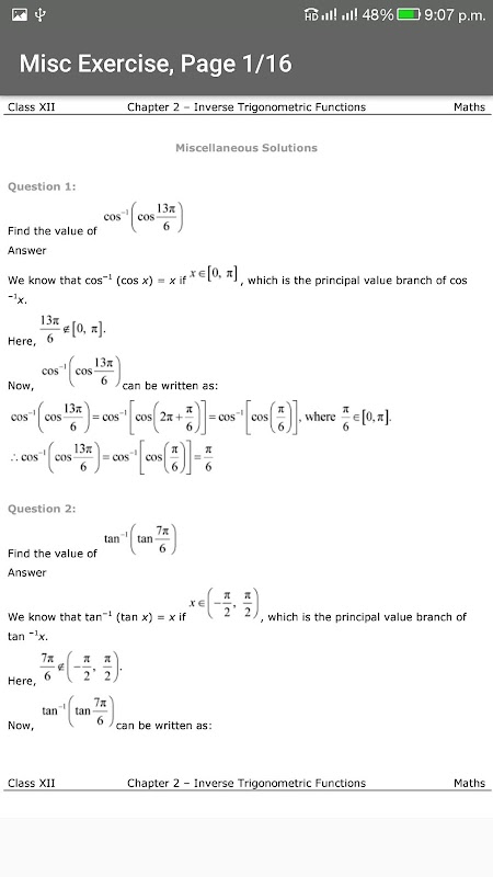
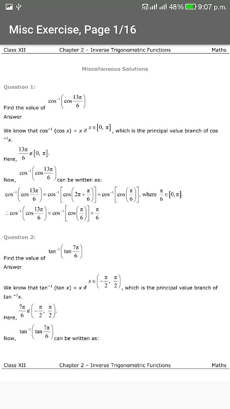
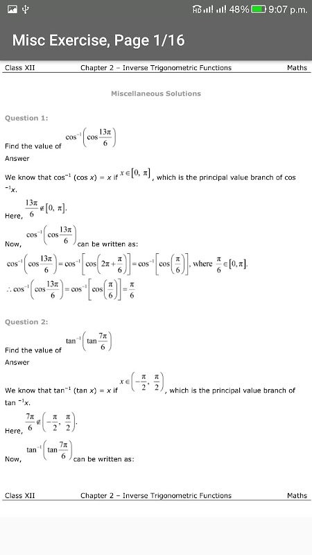
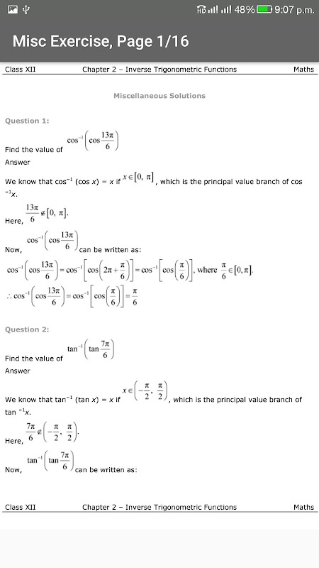
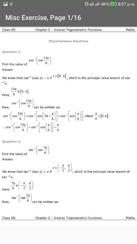
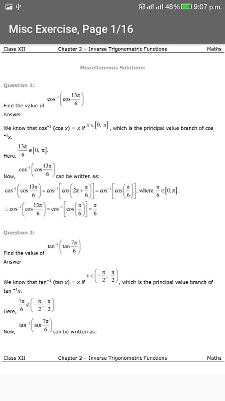
Chapter 2 - Inverse Trigonometric Functions
Chapter 3 - Matrices
Chapter 4 - Determinants
Chapter 5 - Continuity and Differentiability
Chapter 6 - Application of Derivatives
Chapter 7 - Integrals
Chapter 8 - Application of Integrals
Chapter 9 - Differential Equations
Chapter 10 - Vector Algebra
Chapter 11 - Three Dimensional Geometry
Chapter 12 - Linear Programming
Chapter 13 - Probability
Mathematics has been relevant to humanity since ancient times. Did you know that archaeologists have discovered that a numbering system used by the Indus Valley civilization? They used this for trade and commerce with different parts of the world. Today, math has relevance in almost all aspects of daily life. When we go to the supermarket, we inevitably use the numerical system to calculate our total bill. When a teacher takes attendance in class, they calculate how many students are present in class and so on. It is a great guide that can be used to prepare for the CBSE exams, as well as engineering entrance exams like JEE. The solutions are very helpful during individual or group studies, teaching students how to best approach a problem. The maths NCERT solutions class 12 is an aid that should complement the students school textbook and help them understand the problems much better. It acts as a gateway to the mind of the examiner.
What's new in the latest 1.5
Class 12 Maths NCERT Solutions APK Information
Old Versions of Class 12 Maths NCERT Solutions
Class 12 Maths NCERT Solutions 1.5
Class 12 Maths NCERT Solutions 1.4
Class 12 Maths NCERT Solutions 1.3
Class 12 Maths NCERT Solutions 1.2
Super Fast and Safe Downloading via APKPure App
One-click to install XAPK/APK files on Android!



