關於Class 12 Maths NCERT Solutions
12級數學NCERT解決方案
教育研究與培訓全國委員會(NCERT)設定遵循中等教育中央委員會(CBSE)在全國所有學校的課程。對於12級數學NCERT解決方案已被寫入,以幫助學生了解通過NCERT規定的教科書所有問題。該班12數學NCERT解決方案,幫助學生解決在教科書中給出的練習,並得到他們的板考試好成績。它涵蓋了從NCERT教材13章的重要問題,同時提供問題及其solutions.Class 12數學NCERT解決方案涵蓋的章節,如積分,微分,代數等。該應用在步驟一步和合乎邏輯的方式,其允許學生容易理解的概念結構。
NCERT 12級數學第一章明智的解決方案
第1章 - 關係及效果
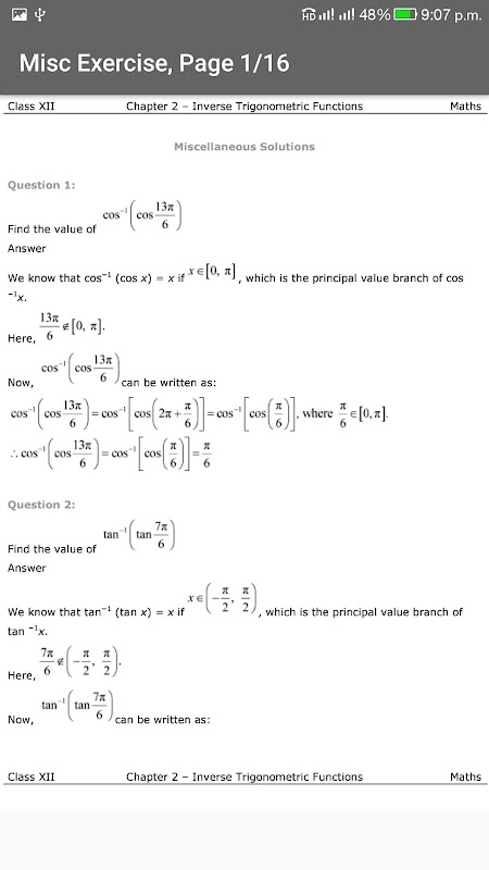
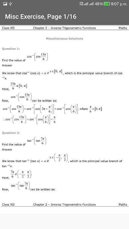
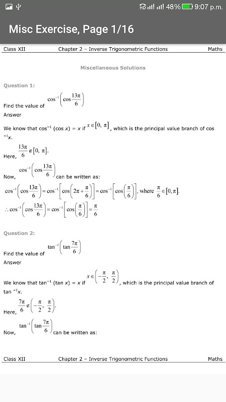
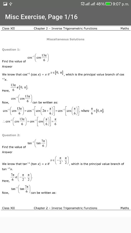
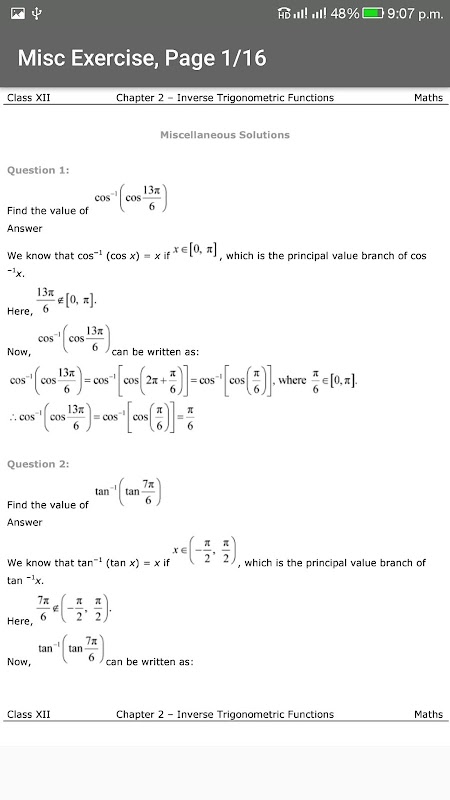
第2章 - 反三角函數
第3章 - 矩陣
第4章 - 決定因素
第5章 - 連續性和可微
第6章 - 衍生物的應用
第7章 - 積分
第8章 - 積分中的應用
第9章 - 微分方程
第10章 - 向量代數
第11章 - 三維幾何
第12章 - 線性規劃
第13章 - 概率
自古以來數學一直是有關人類。你知道嗎,考古學家們已經發現,由印度河流域文明使用的編號系統?他們用這種貿易和商業與世界的不同部分。如今,數學在日常生活的幾乎所有方面的相關性。當我們去超市,我們不可避免地使用數字系統來計算我們的總賬單。當教師需要出勤上課,他們計算出有多少學生在課堂等等。這是一個很大的指導作用,可以用來為總屋宇裝備工程師考試做準備,以及像JEE技術入學考試。該解決方案是在個人或團體的研究非常有幫助,教會學生如何最好地看待問題。該數學NCERT解決方案,12級是應補充學生教科書,並幫助他們了解問題,更好的幫助。它作為一個網關到考官的心。
最新版本1.5的更新日誌
Last updated on 2024年03月20日
Bug fixed
Class 12 Maths NCERT Solutions APK信息
在APKPure安全快速地下載APK
APKPure 使用簽章驗證功能,確保為您提供無病毒的 Class 12 Maths NCERT Solutions APK 下載。
Class 12 Maths NCERT Solutions歷史版本
Class 12 Maths NCERT Solutions 1.5
26.2 MB2024年03月20日
Class 12 Maths NCERT Solutions 1.4
30.4 MB2021年12月21日
Class 12 Maths NCERT Solutions 1.3
39.4 MB2021年09月15日
Class 12 Maths NCERT Solutions 1.2
39.2 MB2020年09月17日



