عن Class 12 Maths NCERT Solutions
حلول NCERT لفئة 12 الرياضيات
يحدد المجلس الوطني للبحوث التعليم والتدريب (NCERT) المناهج الدراسية لجميع المدارس التي تتبع المجلس المركزي للتعليم الثانوي (CBSE) في مختلف أنحاء البلاد. لقد كتب حلول NCERT لفئة 12 الرياضيات لمساعدة الطلاب على فهم جميع المشاكل في الكتب المدرسية المنصوص عليها في NCERT. فئة 12 الرياضيات حلول NCERT تساعد الطلاب على حل التمارين الواردة في الكتب المدرسية والحصول على علامات جيدة في الامتحان مجالس إدارتها. ويغطي الأسئلة من 13 فصول مهمة من كتاب NCERT، وتوفير كل المشاكل وsolutions.Class 12 الرياضيات من الحلول NCERT تغطي الفصول مثل التكامل والتفاضل والجبر وغيرها. ويتمحور التطبيق في خطوة بخطوة وبطريقة منطقية، والذي يسمح للطالب لفهم المفاهيم بسهولة.
حلول NCERT فئة 12 الرياضيات الفصل الحكيم
الفصل 1 - العلاقات وظائف
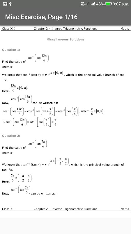
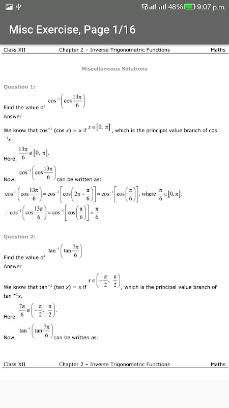
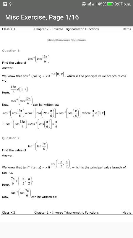
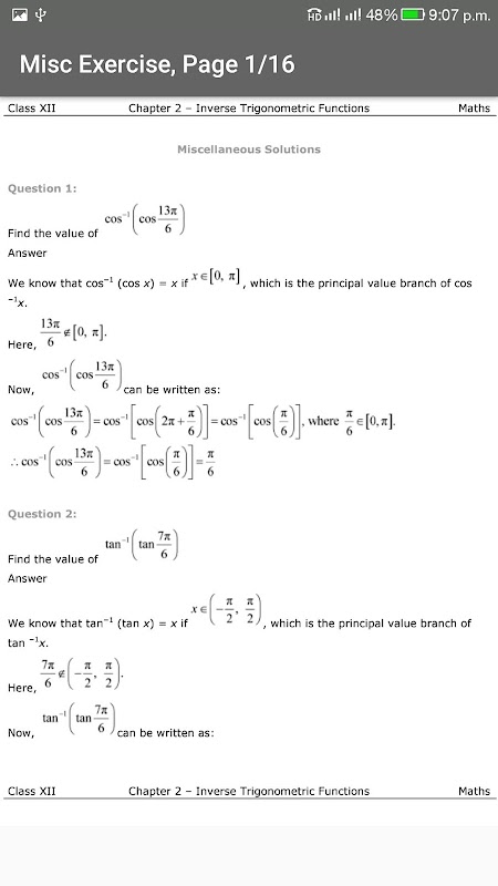
الفصل 2 - الدوال المثلثية العكسية
الفصل 3 - المصفوفات
الفصل 4 - المحددات
الفصل 5 - الاستمرارية والتفاضل
الفصل 6 - تطبيق المشتقات
الفصل 7 - التكاملات
الفصل 8 - تطبيق تكاملات
الفصل 9 - المعادلات التفاضلية
الفصل 10 - المتجهات الجبر
الفصل 11 - ثلاثة الهندسة الأبعاد
الفصل 12 - البرمجة الخطية
الفصل 13 - احتمال
وقد الرياضيات ذات الصلة للبشرية منذ العصور القديمة. هل تعلم أن علماء الآثار اكتشفوا أن نظام الترقيم المستخدم من قبل حضارة وادي السند؟ واستخدم الباحثون هذه التجارة والتجارة مع أجزاء مختلفة من العالم. اليوم، الرياضيات لها أهمية في جميع الجوانب تقريبا من الحياة اليومية. عندما نذهب إلى السوبر ماركت، فإننا حتما استخدام النظام العددي لحساب الفاتورة الإجمالية لدينا. عندما يأخذ المعلم الحضور في الصف، وحساب عدد الطلاب الموجودين في الصف، وهلم جرا. وهو دليل كبير والتي يمكن استخدامها للتحضير للامتحانات CBSE، وكذلك امتحانات القبول الهندسية مثل JEE. الحلول هي مفيدة جدا خلال دراسات فردية أو جماعية، وتعليم الطلاب كيفية التعامل مع أفضل مشكلة. حلول الرياضيات NCERT الدرجة 12 هي المساعدات التي يجب أن تكمل الكتب المدرسية للطلاب ومساعدتهم على فهم المشاكل أفضل من ذلك بكثير. انها بمثابة بوابة الدخول إلى عقل الفاحص.
What's new in the latest 1.5
معلومات Class 12 Maths NCERT Solutions APK
الإصدارات القديمة لـ Class 12 Maths NCERT Solutions
Class 12 Maths NCERT Solutions 1.5
Class 12 Maths NCERT Solutions 1.4
Class 12 Maths NCERT Solutions 1.3
Class 12 Maths NCERT Solutions 1.2
قم بتنزيل سريع وآمن بالغاية عبر تطبيق APKPure
قم بتثبيت ملفات XAPK/APK بنقرة واحدة على أندرويد!



