Class 12 Maths NCERT Solutions
26.2 MB
Размер файла
Everyone
Android 4.4+
Android OS
Oписание Class 12 Maths NCERT Solutions
НСИПП Решения для класса 12 Матхов
Национальный совет по образованию исследований и подготовки кадров (NCERT) устанавливает учебный план для всех школ, которые следуют Центральный совет о среднем образовании (CBSE) по всей стране. Решения НСИПП для 12 класса математика были написано, чтобы помочь студентам понять все проблемы в учебниках, предусмотренных НСИППАМИ. Класс 12 математика решения НСИПП помогают студентам решать упражнения, приведенные в учебниках и получить хорошие оценки в их борту экзамена. Она охватывает вопросы из 13 важных глав из учебника НСИПП, обеспечивая оба проблем и их solutions.Class 12 математики решения НСИПП охватывает глава, такие как интегрирование, дифференцирование, Алгебра и другие. Приложение структурировано шаг за шагом и логично, что позволяет студенту понять концепции легко.
NCERT Класс 12 Математика Главы премудрых решений
Глава 1 - Отношения и функции
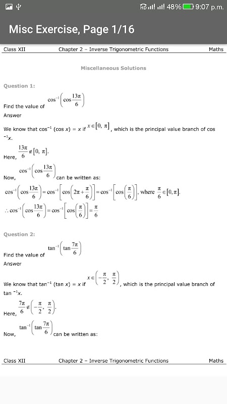
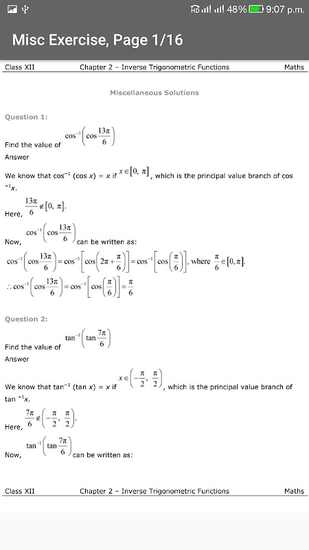
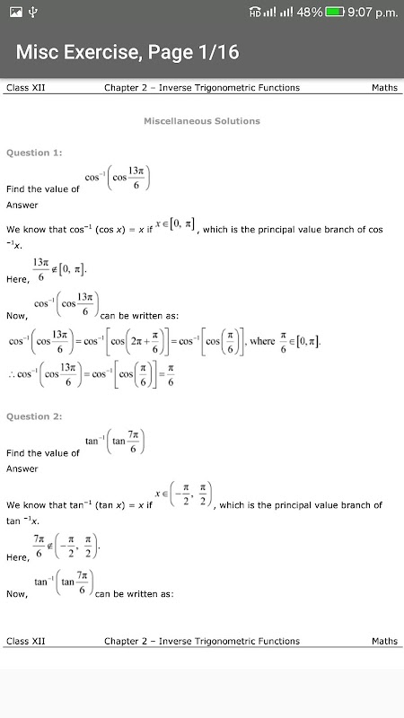
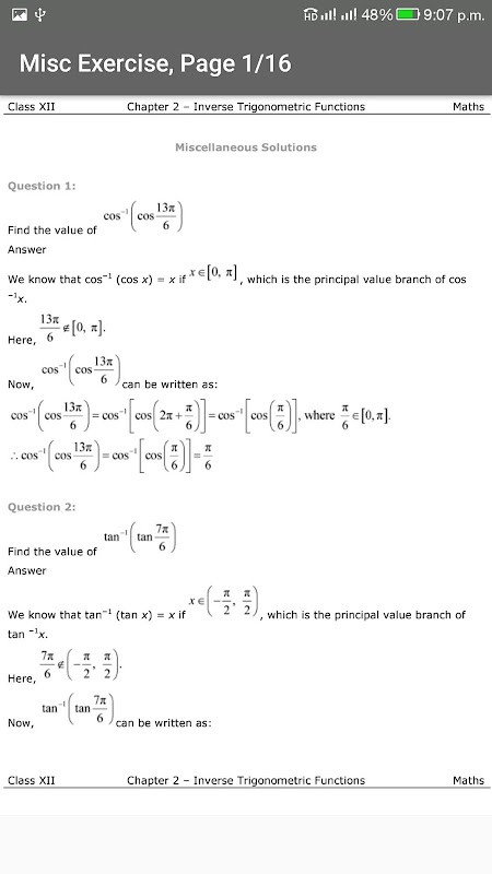
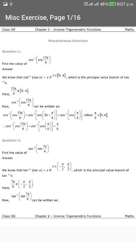
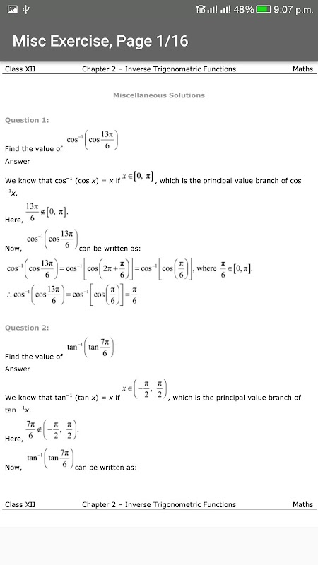
Глава 2 - Обратные тригонометрические функции
Глава 3 - Матрицы
Глава 4 - Факторы, определяющие
Глава 5 - Непрерывность и дифференцируемость
Глава 6 - Применение производных
Глава 7 - Интегралы
Глава 8 - Применение Интегралов
Глава 9 - дифференциальные уравнения
Глава 10 - Векторная алгебра
Глава 11 - Трехмерная геометрия
Глава 12 - Линейное программирование
Глава 13 - Вероятность
Математика была отношением к человечеству с древних времен. Знаете ли вы, что археологи обнаружили, что в системе нумерации, используемой цивилизации долины Инда? Они использовали это для торговли и торговли с различными частями мира. Сегодня математика имеет значение практически во всех аспектах повседневной жизни. Когда мы идем в супермаркет, мы неизбежно использовать числовую систему, чтобы вычислить наш общий счет. Когда учитель принимает участие в классе, они вычисляют, сколько студентов присутствуют в классе и так далее. Это большое руководство, которое может быть использовано для подготовки к экзаменам CBSE, а также инженерные вступительные экзамены, как JEE. Решения очень полезны во время индивидуальных и групповых исследований, обучения студентов, как лучше подойти к проблеме. Математика NCERT решения класс 12 является помощью, которая должна дополнять студент школьного учебника и помочь им понять проблемы гораздо лучше. Он выступает в качестве шлюза в виду экзаменатора.
Что нового в последней версии 1.5
Информация Class 12 Maths NCERT Solutions APK
Старые Версии Class 12 Maths NCERT Solutions
Class 12 Maths NCERT Solutions 1.5
Class 12 Maths NCERT Solutions 1.4
Class 12 Maths NCERT Solutions 1.3
Class 12 Maths NCERT Solutions 1.2
Супер Быстрая и Безопасная Загрузка через Приложение APKPure
Один клик для установки XAPK/APK файлов на Android!



