关于Class 12 Maths NCERT Solutions
12级数学NCERT解决方案
教育研究与培训全国委员会(NCERT)设定遵循中等教育中央委员会(CBSE)在全国所有学校的课程。对于12个数学NCERT解决方案已被写入,以帮助学生了解通过NCERT规定的教科书所有问题。该班12数学NCERT解决方案,帮助学生解决在教科书中给出的练习,并得到他们的板考试好成绩。它涵盖了从NCERT教材13章的重要问题,同时提供问题及其solutions.Class 12数学NCERT解决方案涵盖的章节,如积分,微分,代数等。该应用在步骤一步和合乎逻辑的方式,其允许学生容易理解的概念结构。
NCERT 12级数学第一章明智的解决方案
第1章 - 关系及效果
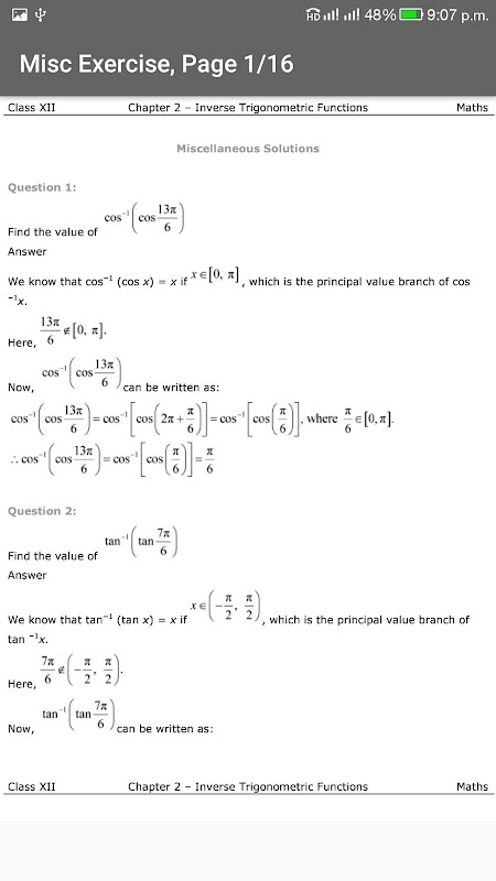
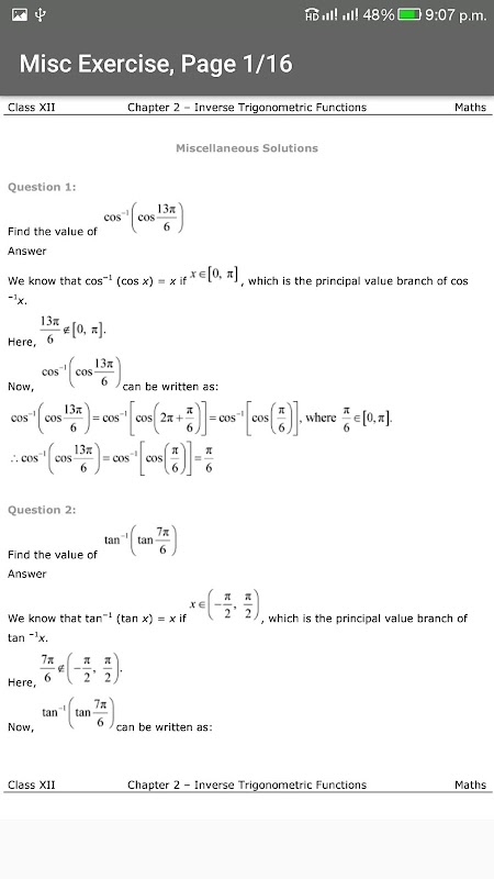
第2章 - 反三角函数
第3章 - 矩阵
第4章 - 决定因素
第5章 - 连续性和可微
第6章 - 衍生物的应用
第7章 - 积分
第8章 - 积分中的应用
第9章 - 微分方程
第10章 - 向量代数
第11章 - 三维几何
第12章 - 线性规划
第13章 - 概率
自古以来数学一直是有关人类。你知道吗,考古学家们已经发现,由印度河流域文明使用的编号系统?他们用这种贸易和商业与世界的不同部分。如今,数学在日常生活的几乎所有方面的相关性。当我们去超市,我们不可避免地使用数字系统来计算我们的总账单。当教师需要出勤上课,他们计算出有多少学生在课堂等等。这是一个很大的指导作用,可以用来为总屋宇装备工程师考试做准备,以及像JEE技术入学考试。该解决方案是在个人或团体的研究非常有帮助,教会学生如何最好地看待问题。该数学NCERT解决方案,12级是应补充学生教科书,并帮助他们了解问题,更好的帮助。它作为一个网关到考官的心。
最新版本1.5的更新日志
Last updated on 2024年03月20日
Bug fixed
Class 12 Maths NCERT Solutions APK信息
在APKPure安全快速地下载APK
APKPure 使用签名验证功能,确保为您提供无病毒的 Class 12 Maths NCERT Solutions APK 下载。
Class 12 Maths NCERT Solutions历史版本
Class 12 Maths NCERT Solutions 1.5
26.2 MB2024年03月20日
Class 12 Maths NCERT Solutions 1.4
30.4 MB2021年12月21日
Class 12 Maths NCERT Solutions 1.3
39.4 MB2021年09月15日
Class 12 Maths NCERT Solutions 1.2
39.2 MB2020年09月17日



