เกี่ยวกับ Class 12 Maths NCERT Solutions
โซลูชั่นสำหรับ NCERT Class 12 คณิตศาสตร์
สภาแห่งชาติของการวิจัยการศึกษาและการฝึกอบรม (NCERT) กำหนดหลักสูตรสำหรับทุกโรงเรียนที่เป็นไปตามที่คณะกรรมการกลางของการศึกษาระดับมัธยมศึกษา (CBSE) ทั่วประเทศ โซลูชั่น NCERT สำหรับการเรียนวิชาคณิตศาสตร์ 12 ได้รับการเขียนเพื่อช่วยให้นักเรียนเข้าใจปัญหาทั้งหมดที่อยู่ในตำราที่กำหนดโดย NCERT โซลูชั่นชั้น 12 เลขที่ NCERT ช่วยให้นักเรียนแก้ปัญหาการออกกำลังกายที่ให้ไว้ในตำราเรียนและได้รับเครื่องหมายที่ดีในการสอบคณะกรรมการ มันครอบคลุมคำถามจากบทที่ 13 ที่สำคัญจากตำรา NCERT ให้ทั้งปัญหาและ solutions.Class 12 คณิตศาสตร์ของพวกเขาแก้ปัญหา NCERT ครอบคลุมบทเช่นบูรณาการความแตกต่างพีชคณิตและอื่น ๆ แอปพลิเคมีโครงสร้างในขั้นตอนโดยขั้นตอนและลักษณะตรรกะซึ่งจะช่วยให้นักเรียนที่จะเข้าใจแนวคิดได้อย่างง่ายดาย
โซลูชั่น NCERT Class 12 คณิตศาสตร์บทที่ชาญฉลาด
บทที่ 1 - ความสัมพันธ์และฟังก์ชั่น
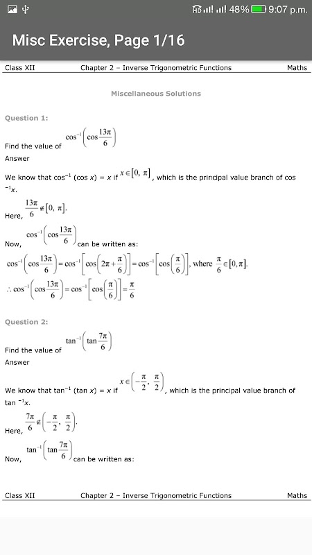
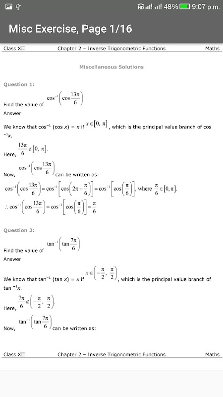
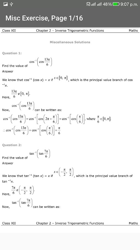
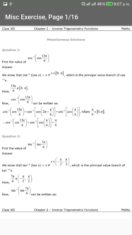
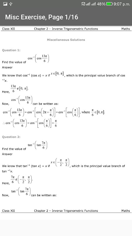
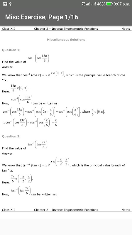
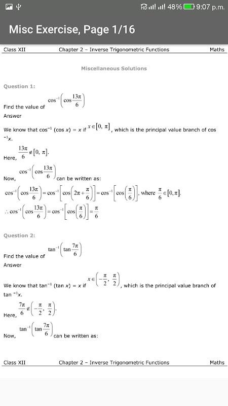
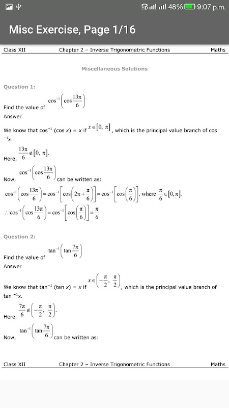
บทที่ 2 - ฟังก์ชั่นตรีโกณมิติผกผัน
บทที่ 3 - เมทริกซ์
บทที่ 4 - ปัจจัย
บทที่ 5 - ต่อเนื่องและอนุพันธ์
บทที่ 6 - การประยุกต์ใช้ของสัญญาซื้อขายล่วงหน้า
บทที่ 7 - ปริพันธ์
บทที่ 8 - การประยุกต์ของปริพันธ์
บทที่ 9 - สมการเชิงอนุพันธ์
บทที่ 10 - เวกเตอร์พีชคณิต
บทที่ 11 - สามมิติเรขาคณิต
บทที่ 12 - การเขียนโปรแกรมเชิงเส้น
บทที่ 13 - ความน่าจะเป็น
คณิตศาสตร์ได้รับการที่เกี่ยวข้องกับมนุษย์มาตั้งแต่สมัยโบราณ คุณรู้ไหมว่านักโบราณคดีได้ค้นพบว่าระบบเลขที่ใช้โดยอารยธรรมลุ่มแม่น้ำสินธุ? พวกเขาใช้วิธีนี้เพื่อการค้าและการพาณิชย์กับชิ้นส่วนต่างๆของโลก วันนี้ทางคณิตศาสตร์มีความสัมพันธ์กันในเกือบทุกด้านของชีวิตประจำวัน เมื่อเราไปซูเปอร์มาร์เก็ตที่เราหลีกเลี่ยงไม่ได้ใช้ระบบตัวเลขในการคำนวณค่าทั้งหมดของเรา เมื่อครูเข้าร่วมประชุมใช้เวลาในชั้นเรียนของพวกเขาคำนวณจำนวนนักเรียนที่มีอยู่ในชั้นเรียนและอื่น ๆ มันเป็นคู่มือที่ดีที่สามารถใช้ในการเตรียมความพร้อมสำหรับการสอบ CBSE เช่นเดียวกับการสอบเข้าเช่นวิศวกรรม JEE การแก้ปัญหาจะเป็นประโยชน์มากในระหว่างการศึกษาบุคคลหรือกลุ่มการเรียนการสอนนักเรียนวิธีการที่ดีที่สุดวิธีการปัญหา คณิตศาสตร์ NCERT โซลูชั่นชั้น 12 เป็นความช่วยเหลือที่ควรเสริมตำรานักเรียนในโรงเรียนและช่วยให้พวกเขาเข้าใจปัญหาดีมาก จะทำหน้าที่เป็นประตูสู่จิตใจของผู้ตรวจสอบที่
What's new in the latest 1.5
ข้อมูล Class 12 Maths NCERT Solutions APK
Class 12 Maths NCERT Solutions รุ่นเก่า
Class 12 Maths NCERT Solutions 1.5
Class 12 Maths NCERT Solutions 1.4
Class 12 Maths NCERT Solutions 1.3
Class 12 Maths NCERT Solutions 1.2
การดาวน์โหลดที่รวดเร็วและปลอดภัยเป็นพิเศษผ่านแอป APKPure
คลิกเพียงครั้งเดียวเพื่อติดตั้งไฟล์ XAPK/APK บน Android!



