دربارهی Class 12 Maths NCERT Solutions
راه حل های NCERT برای کلاس 12 ریاضی
شورای ملی تحقیقات آموزش و پرورش و آموزش (NCERT) مجموعه برنامه درسی برای همه مدارس است که به دنبال هیئت مرکزی آموزش متوسطه (CBSE) در سراسر کشور. راه حل NCERT برای کلاس 12 ریاضی نوشته شده است برای کمک به دانش آموزان در درک همه مشکلات در کتاب های درسی تجویز شده توسط NCERT. کلاس 12 ریاضی راه حل NCERT کمک به دانش آموزان حل تمرینات داده شده در کتاب های درسی و نمرات خوب در آزمون هیئت مدیره خود را. این بخش شامل سوالات از 13 فصل مهم از کتاب درسی NCERT، ارائه هر دو مشکلات و solutions.Class 12 ریاضی خود را حل NCERT را پوشش می دهد فصل مانند ادغام، تمایز، جبر و دیگران است. برنامه است که در گام به گام و به شیوه ای منطقی، که اجازه می دهد تا دانش آموز به درک مفاهیم به راحتی فراهم شده است.
NCERT کلاس 12 ریاضی فصل عاقلانه راه حل
فصل 1 - روابط و توابع
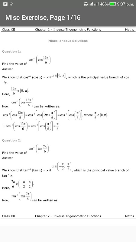
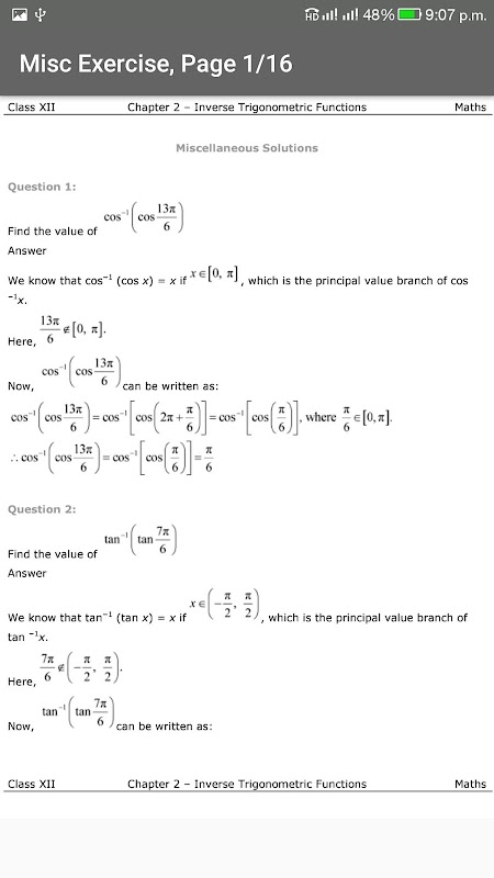
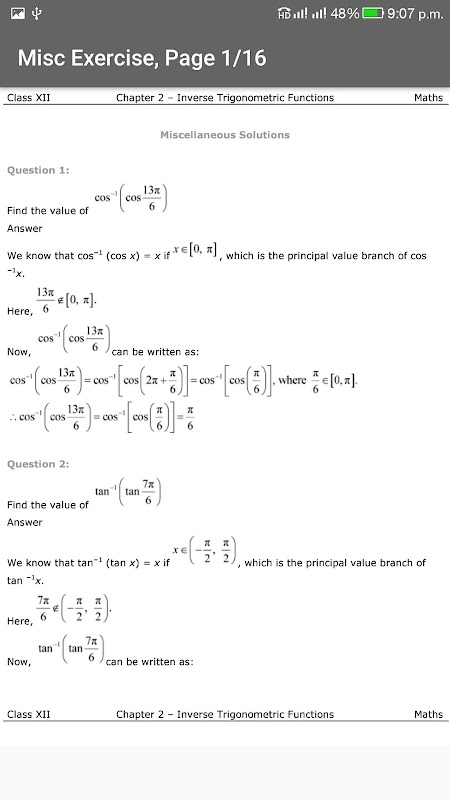
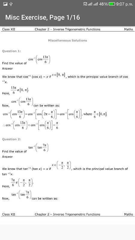
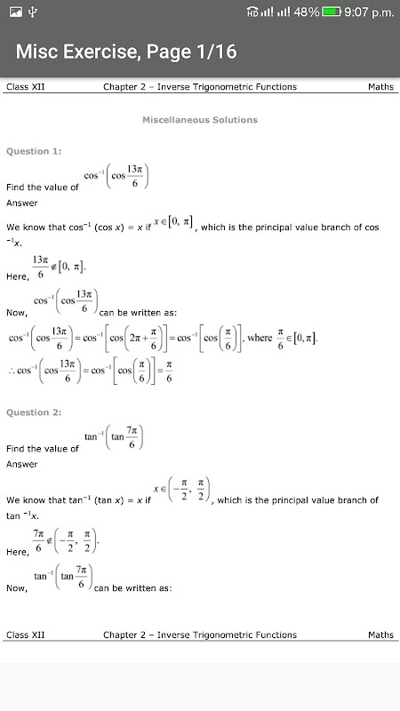
فصل 2 - معکوس توابع مثلثاتی
فصل 3 - ماتریس
فصل 4 - عوامل
فصل 5 - پیوستگی و differentiability
فصل 6 - استفاده از مشتقات
فصل 7 - انتگرال
فصل 8 - استفاده از انتگرال
فصل 9 - معادلات دیفرانسیل
فصل 10 - بردار جبر
فصل 11 - سه بعدی هندسی
فصل 12 - برنامه ریزی خطی
فصل 13 - احتمال
ریاضیات از دوران باستان مربوط به بشریت بوده است. آیا می دانید که باستان شناسان کشف کرده اند که یک سیستم شماره های استفاده شده توسط تمدن دره ایندوس؟ آنها این برای تجارت و بازرگانی با بخش های مختلف جهان استفاده می شود. امروز، ریاضی ارتباط تقریبا در تمام جنبه های زندگی روزمره. هنگامی که ما به سوپر مارکت بروید، ما به ناچار برای محاسبه کل لایحه ما در استفاده از سیستم عددی. زمانی که یک معلم می حضور در کلاس، آنها محاسبه چگونه بسیاری از دانش آموزان در کلاس و غیره وجود دارند. این یک راهنمای بزرگ است که می توان برای آماده شدن برای امتحانات CBSE، و همچنین امتحانات ورودی مهندسی مانند JEE است. راه حل در طول مطالعات فرد یا گروه بسیار مفید است، آموزش دانش آموزان چگونه به بهترین روش یک مشکل. ریاضی NCERT راه حل های کلاس 12 کمک که باید کتاب درسی مدرسه دانش آموزان تکمیل و کمک به آنها درک مشکلات بسیار بهتر است. آن را به عنوان دروازه ورود به ذهن امتحان عمل می کند.
جدیدترین 1.5 چه خبر است
اطلاعات Class 12 Maths NCERT Solutions APK
نسخههای قدیمی Class 12 Maths NCERT Solutions
Class 12 Maths NCERT Solutions 1.5
Class 12 Maths NCERT Solutions 1.4
Class 12 Maths NCERT Solutions 1.3
Class 12 Maths NCERT Solutions 1.2
دانلود فوق سریع و ایمن از طریق برنامه APKPure
برای نصب فایل های XAPK/APK در اندروید با یک کلیک!



