Class 12 Maths NCERT Solutions
26.2 MB
Dimensione
Everyone
Android 4.4+
Android OS
Informazioni su Class 12 Maths NCERT Solutions
Soluzioni NCERT per la classe 12 Maths
Il Consiglio Nazionale della Pubblica Istruzione Ricerca e la Formazione (NCERT) imposta il programma di studi per tutte le scuole che seguono il Comitato Centrale di Istruzione Secondaria (CBSE) in tutta la nazione. Soluzioni NCERT per classe 12 Matematica è stato scritto per aiutare gli studenti a capire tutti i problemi nei libri di testo prescritti da NCERT. La classe 12 matematica soluzioni NCERT aiutare gli studenti a risolvere gli esercizi riportati nei libri di testo e ottenere buoni voti nel loro esame di bordo. Esso copre le domande provenienti da 13 importanti capitoli del libro di testo NCERT, fornendo entrambi i problemi e le loro solutions.Class 12 matematica soluzioni NCERT copre capitoli come l'integrazione, differenziazione, Algebra e altri. L'applicazione è strutturata in uno step-by-step e modo logico, che permette allo studente di comprendere i concetti facilmente.
NCERT classe 12 Maths Capitolo-saggio Solutions
Capitolo 1 - Relazioni e funzioni
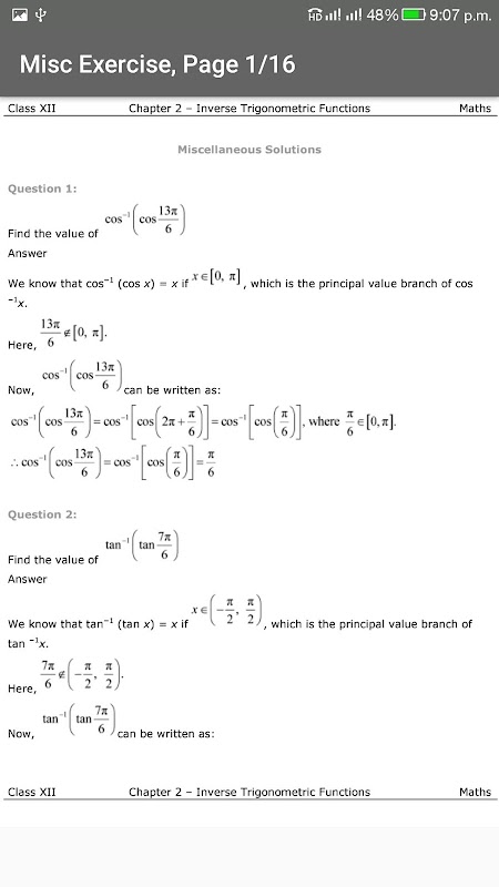
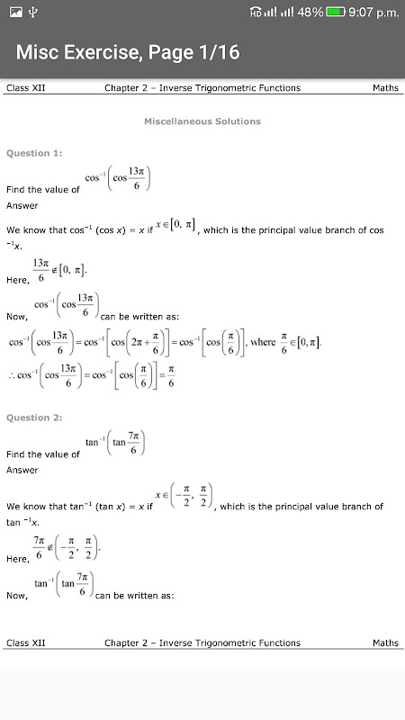
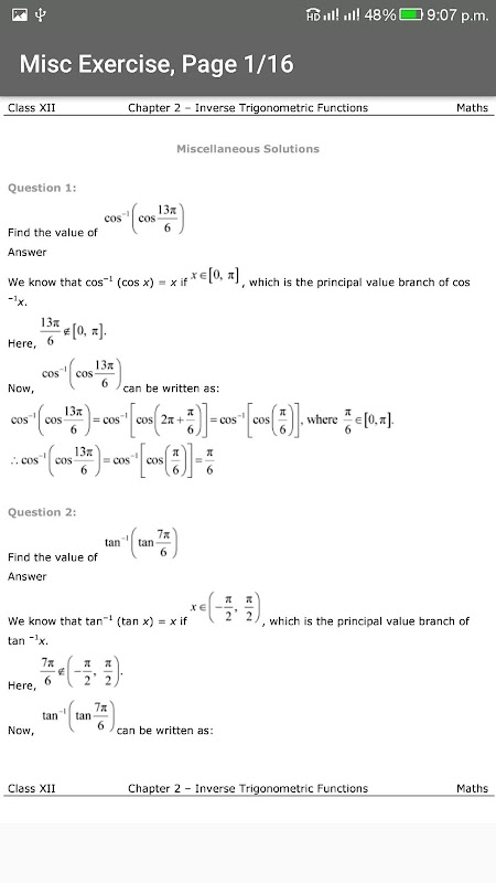
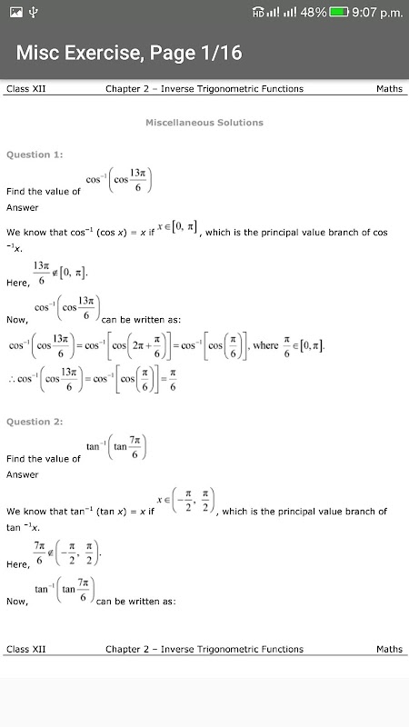
Capitolo 2 - Inverse funzioni trigonometriche
Capitolo 3 - Matrici
Capitolo 4 - Determinanti
Capitolo 5 - Continuità e Differenziabilità
Capitolo 6 - Applicazione del valore dei derivati
Capitolo 7 - Integrali
Capitolo 8 - Applicazione di integrali
Capitolo 9 - Equazioni Differenziali
Capitolo 10 - Vector Algebra
Capitolo 11 - Tridimensionale Geometria
Capitolo 12 - Programmazione Lineare
Capitolo 13 - Probabilità
La matematica è stato rilevante per l'umanità fin dai tempi antichi. Lo sapevate che gli archeologi hanno scoperto che un sistema di numerazione utilizzato dalla civiltà della valle? Hanno usato questo per il commercio e il commercio con diverse parti del mondo. Oggi, la matematica ha rilevanza in quasi tutti gli aspetti della vita quotidiana. Quando andiamo al supermercato, inevitabilmente utilizziamo il sistema numerico per calcolare il conto totale. Quando un insegnante prende presenze in classe, calcolano quanti studenti sono presenti in classe e così via. Si tratta di una grande guida che può essere utilizzato per preparare gli esami CBSE, così come gli esami di ingresso di ingegneria come JEE. Le soluzioni sono molto utili nel corso degli studi individuali o di gruppo, insegnare agli studenti come affrontare meglio un problema. La matematica NCERT soluzioni di classe 12 è un aiuto che dovrebbe integrare il libro di testo agli studenti della scuola e aiutarli a comprendere i problemi molto meglio. Esso agisce come un gateway per la mente dell'esaminatore.
What's new in the latest 1.5
Informazioni sull'APK Class 12 Maths NCERT Solutions
Vecchie versioni di Class 12 Maths NCERT Solutions
Class 12 Maths NCERT Solutions 1.5
Class 12 Maths NCERT Solutions 1.4
Class 12 Maths NCERT Solutions 1.3
Class 12 Maths NCERT Solutions 1.2
Download super veloce e sicuro tramite l'app APKPure
Basta un clic per installare i file XAPK/APK su Android!



