Class 12 Maths NCERT Solutions
26.2 MB
Ukuran file
Everyone
Android 4.4+
Android OS
Tentang Class 12 Maths NCERT Solutions
Solusi NCERT untuk Kelas 12 Matematika
Dewan Nasional Penelitian dan Pelatihan Pendidikan (NCERT) menetapkan kurikulum untuk semua sekolah yang mengikuti Badan Pusat Pendidikan Menengah (CBSE) di seluruh bangsa. NCERT solusi untuk kelas 12 Matematika telah ditulis untuk membantu siswa memahami semua masalah dalam buku pelajaran ditentukan oleh NCERT. Kelas 12 matematika NCERT solusi membantu siswa memecahkan latihan yang diberikan dalam buku teks dan mendapatkan nilai bagus dalam ujian papan mereka. Ini mencakup pertanyaan dari 13 bab penting dari buku teks NCERT, menyediakan kedua masalah dan mereka solutions.Class 12 matematika solusi NCERT mencakup bab-bab seperti Integrasi, Diferensiasi, Aljabar dan lain-lain. Aplikasi ini disusun dalam langkah-demi-langkah dan cara yang logis, yang memungkinkan siswa untuk memahami konsep-konsep dengan mudah.
Solusi NCERT Kelas 12 Matematika Bab-bijaksana
Bab 1 - Hubungan dan Fungsi
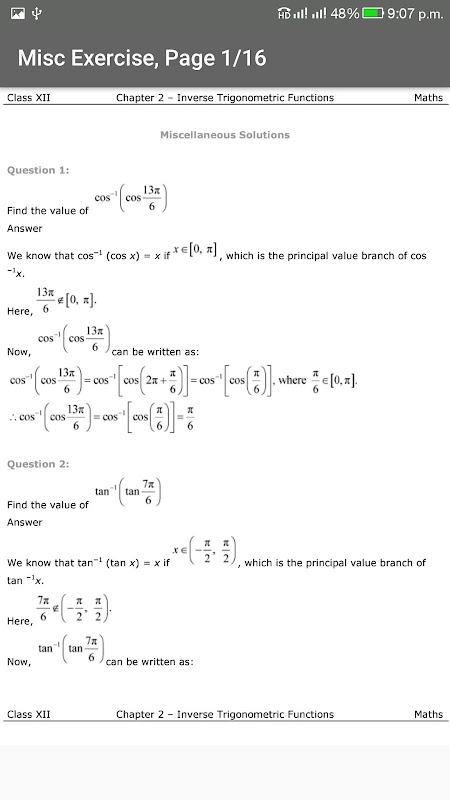
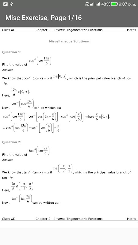
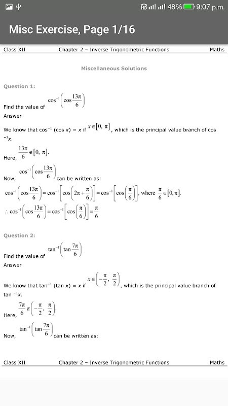
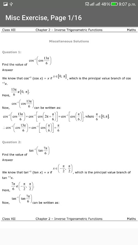
Bab 2 - Fungsi trigonometri Inverse
Bab 3 - Matriks
Bab 4 - Faktor Penentu
Bab 5 - Continuity dan Diferensiabilitas
Bab 6 - Aplikasi Derivatif
Bab 7 - Integral
Bab 8 - Penerapan Integral
Bab 9 - Persamaan Diferensial
Bab 10 - Vector Aljabar
Bab 11 - Tiga Geometri Dimensi
Bab 12 - Linear Programming
Bab 13 - Probabilitas
Matematika telah relevan dengan manusia sejak zaman kuno. Apakah Anda tahu bahwa arkeolog telah menemukan bahwa sistem penomoran yang digunakan oleh peradaban Lembah Indus? Mereka menggunakan ini untuk perdagangan dan perdagangan dengan berbagai belahan dunia. Hari ini, matematika memiliki relevansi di hampir semua aspek kehidupan sehari-hari. Ketika kita pergi ke supermarket, mau tak mau kita menggunakan sistem numerik untuk menghitung total tagihan. Ketika seorang guru mengambil hadir di kelas, mereka menghitung berapa banyak siswa yang hadir di kelas dan sebagainya. Ini adalah panduan besar yang dapat digunakan untuk mempersiapkan ujian CBSE, serta ujian rekayasa pintu masuk seperti JEE. Solusi yang sangat membantu selama studi individu atau kelompok, mengajar siswa bagaimana pendekatan terbaik masalah. Matematika NCERT solusi kelas 12 adalah bantuan yang harus melengkapi buku teks sekolah siswa dan membantu mereka memahami masalah yang jauh lebih baik. Ini bertindak sebagai pintu gerbang ke pikiran pemeriksa.
What's new in the latest 1.5
Informasi APK Class 12 Maths NCERT Solutions
Versi lama Class 12 Maths NCERT Solutions
Class 12 Maths NCERT Solutions 1.5
Class 12 Maths NCERT Solutions 1.4
Class 12 Maths NCERT Solutions 1.3
Class 12 Maths NCERT Solutions 1.2
Pengunduhan Super cepat dan aman melalui aplikasi APKPure
Sekali klik untuk menginstal file XAPK/APK di Android!



