このClass 12 Maths NCERT Solutionsについて
クラス12数学のためのNCERTソリューション
教育研究研修の国民評議会(NCERT)は、全国の中等教育の中央委員会(CBSE)に従うすべての学校のためのカリキュラムを設定します。クラス12の数学のためのNCERTのソリューションは、学生がNCERTによって規定された教科書のすべての問題を理解するために書かれています。クラス12数学NCERTソリューションは、学生が教科書に与えられた演習を解決し、そのボードの試験で良い評価を得るのを助けます。これは、NCERTソリューションは、このような統合、分化、代数などのような章をカバーし、両方の問題とそのsolutions.Class 12数学を提供し、NCERTの教科書から13件の重要な章からの質問をカバーしています。アプリは、ステップ・バイ・ステップおよび論理的な方法、学生が簡単な概念を理解することが可能に構成されています。
NCERTクラス12数学章ごとのソリューション
第1章 - 関係と機能
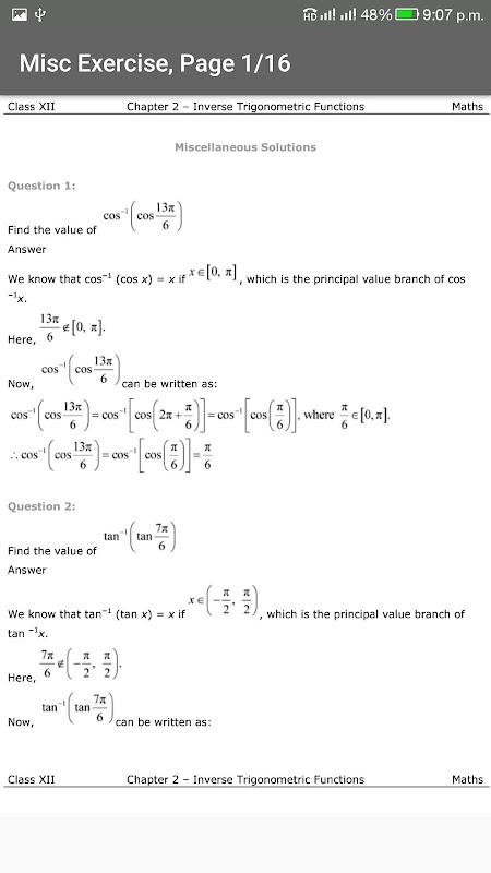
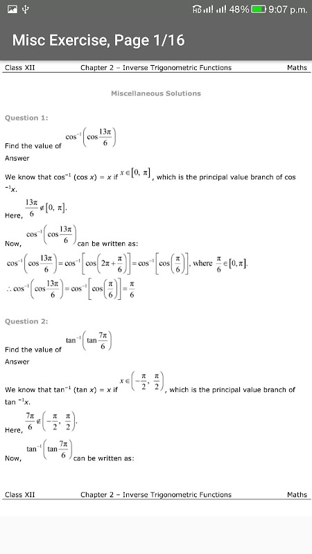
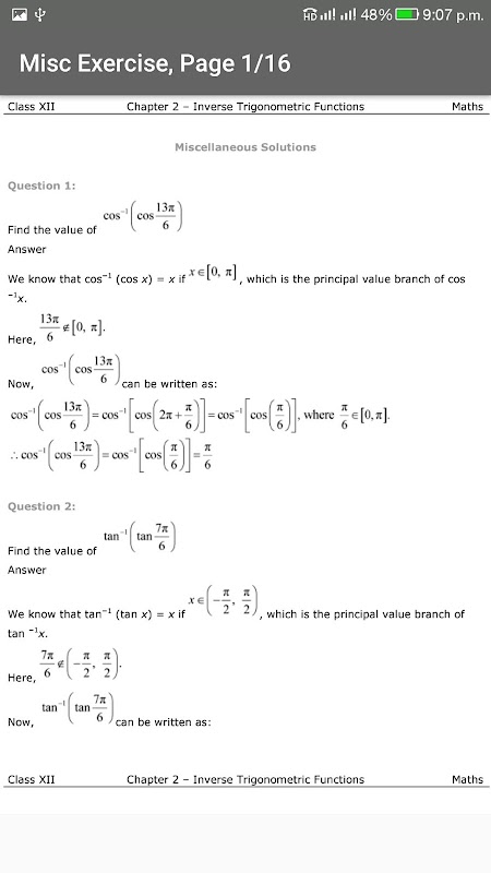
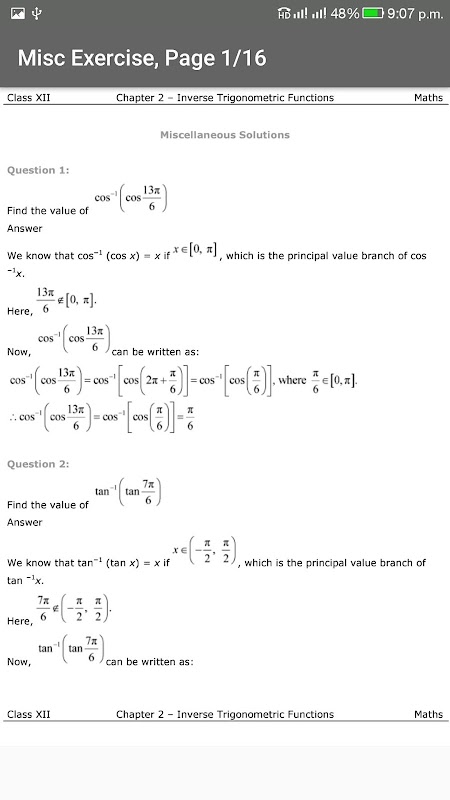
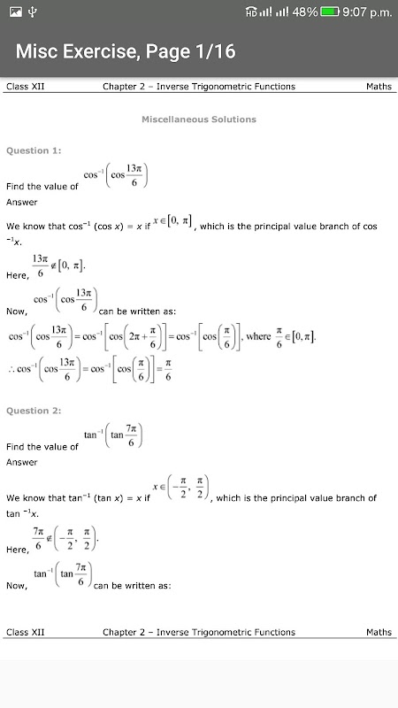
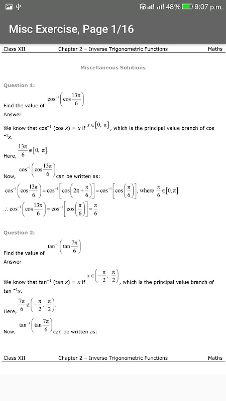
第2章 - 逆三角関数
第3章 - 行列
第4章 - 決定要因
第5章 - 継続と微分
第6章 - 誘導体の応用
第7章 - 積分
第8章 - 積分の応用
第9章 - 微分方程式
第10章 - ベクトル代数
第11章 - 三次元のジオメトリ
第12章 - 線形計画
第13章 - 確率
数学は古くから人類に関連してきました。あなたは考古学者は、ナンバリングシステムはインダス文明で使用されることを発見したことを知っていますか?彼らは、世界のさまざまな部分との貿易と商業のためにこれを使用していました。今日、数学は日常生活のほぼすべての面での関連性を持っています。私たちはスーパーに行くとき、私たちは、必然的に私たちの合計法案を計算した数値システムを使用しています。教師が授業で出席を取るとき、彼らはクラスでというように存在しているどのように多くの学生を計算します。これは、JEEのような偉大なCBSE試験の準備をすることができ、ガイドだけでなく、エンジニアリングの入学試験です。ソリューションは、最高の問題にアプローチする方法を学生に教え、個人またはグループ研究中に非常に便利です。数学NCERTソリューションクラス12人の学校の教科書を補完し、彼らがより良い問題を理解すべきである援助です。これは、審査官の心にゲートウェイとして機能します。



