Class 12 Maths NCERT Solutions 정보
클래스 (12) 수학에 대한 NCERT 솔루션
교육 연구 및 교육의 국가위원회 (NCERT)는 전국 중등 교육의 중앙위원회 (CBSE)을 따라 모든 학교의 교과 과정을 설정합니다. 클래스 (12) 수학에 대한 NCERT 솔루션 학생들이 NCERT에 의해 규정 된 교과서의 모든 문제를 이해하는 데 도움이 작성되었습니다. 클래스 (12) 수학 NCERT 솔루션은 학생들이 교과서에 주어진 연습을 해결하고 자신의 보드 시험에서 좋은 점수를 얻을 수 있도록. 그것은 NCERT 교과서에서 13 중요한 장에서 질문, NCERT 솔루션은 통합, 차별화, 대수 등으로 장을 포함 문제와 그 solutions.Class (12) 수학을 모두 제공을 포함한다. 이 앱은 단계별로 논리적 방식으로, 학생이 쉽게 개념을 이해 할 수 있습니다으로 구성되어있다.
NCERT 클래스 (12) 수학 장 - 현명한 솔루션
제 1 장 - 관계 및 기능
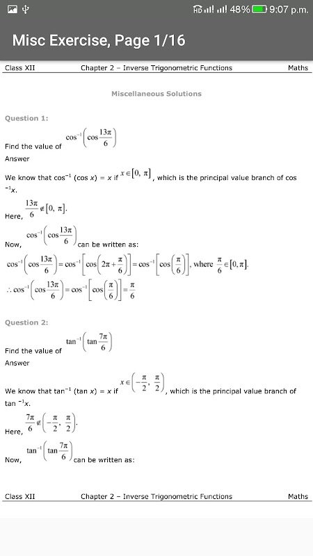
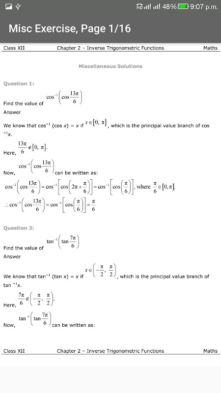
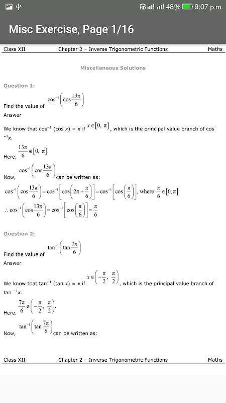
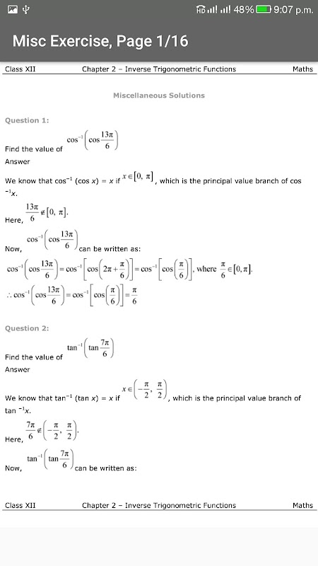
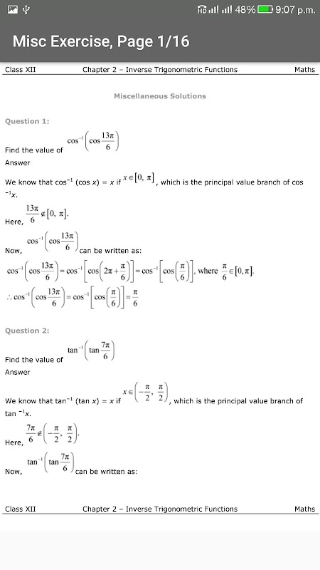
제 2 장 - 역 삼각 함수
제 3 장 - 행렬
제 4 장 - 결정 요인
제 5 장 - 연속성과 미분 가능성
제 6 장 - 파생 상품의 적용
제 7 장 - 미적분학
제 8 장 - 적분 응용 프로그램
제 9 장 - 미분 방정식
제 10 장 - 벡터 대수학
제 11 장 - 3 차원 기하학
제 12 장 - 선형 프로그래밍
제 13 장 - 확률
수학은 고대부터 인류와 관련이있다. 당신은 고고학자는 인더스 문명에 의해 사용되는 번호 체계는 것을 발견 한 사실을 알고 계셨습니까? 그들은 세계의 다른 부분과의 무역과 상업이를 사용했다. 오늘, 수학은 일상 생활의 거의 모든면에서 관련이있다. 우리가 슈퍼마켓에 갈 때, 우리는 필연적으로 우리의 전체 법안을 계산하는 숫자 시스템을 사용합니다. 교사가 수업 시간에 출석을 취하면, 그들은 클래스 등 현재 얼마나 많은 학생들 계산합니다. 그것은 JEE 같은 큰 CBSE 시험을 준비하는 데 사용할 수있는 가이드뿐만 아니라 엔지니어링 입학 시험이다. 솔루션은 최상의 방법 문제를 접근하는 학생들을 가르치고, 개인 또는 그룹의 연구 기간 동안 매우 도움이됩니다. 수학 NCERT 솔루션 클래스 (12)는 학생의 학교 교과서를 보완하고 훨씬 더 문제를 이해하는 데 도움이 도움이됩니다. 그것은 심사관의 마음에 대한 게이트웨이 역할을합니다.



