Class 12 Maths NCERT Solutions
26.2 MB
ফাইলের আকার
Everyone
Android 4.4+
Android OS
Class 12 Maths NCERT Solutions সম্পর্কে
ক্লাস 12 গণিতশাস্ত্র জন্য NCERT সলিউশন
শিক্ষা গবেষণা ও প্রশিক্ষণ ন্যাশনাল কাউন্সিল (NCERT) সমস্ত স্কুলের যে সেকেন্ডারি এডুকেশন কেন্দ্রীয় বোর্ড (সিবিএসই) জাতি জুড়ে অনুসরণ পাঠ্যক্রম সেট করে। শ্রেণী 12 গণিতশাস্ত্র জন্য NCERT সমাধান সাহায্য করার জন্য ছাত্র পাঠ্যবই NCERT দ্বারা নির্ধারিত পদ্ধতিতে সব সমস্যার বুঝতে লেখা হয়েছে। শ্রেণী 12 গণিতশাস্ত্র NCERT সমাধান শিক্ষার্থীদের পাঠ্যবই দেওয়া ব্যায়াম সমাধান এবং তাদের বোর্ড পরীক্ষায় ভাল মার্কস পেতে সহায়তা করে। এটা তোলে NCERT পাঠ্যপুস্তক থেকে 13 গুরুত্বপূর্ণ অধ্যায় থেকে প্রশ্ন, উভয় সমস্যা এবং সেগুলির solutions.Class 12 গণিতশাস্ত্র প্রদানের NCERT সমাধান যেমন ইন্টিগ্রেশন, পার্থক্য, বীজগণিত এবং অন্যদের হিসাবে অধ্যায়গুলির জুড়ে জুড়ে। অ্যাপ্লিকেশন একটি ধাপে ধাপে এবং লজিক্যাল পদ্ধতি, যা ছাত্র সহজে ধারণাগুলি বুঝতে দেয় গঠিত হয়।
NCERT ক্লাস 12 গণিতশাস্ত্র অধ্যায় ভিত্তিক সলিউশন
অধ্যায় 1 - সম্পর্ক ও কার্যাবলী
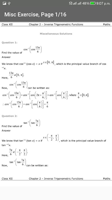
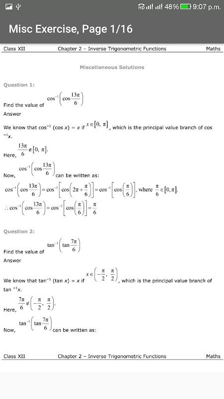
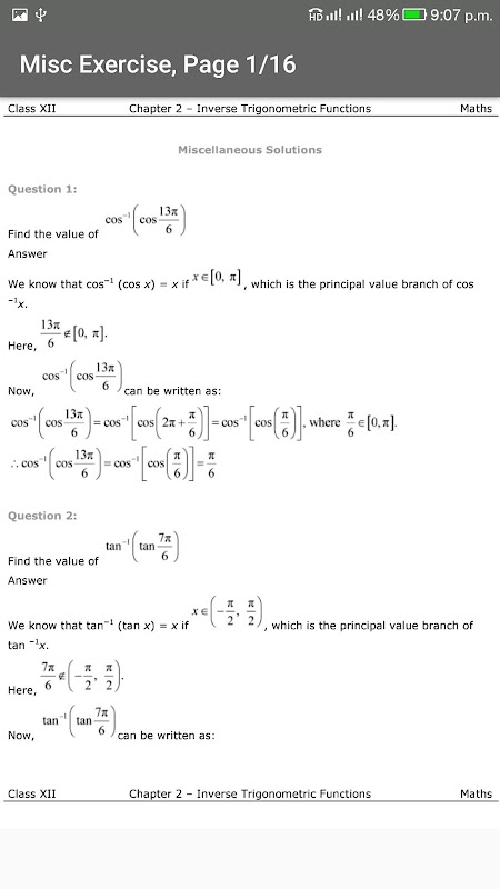
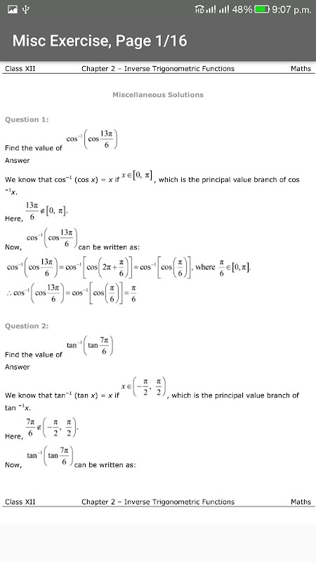
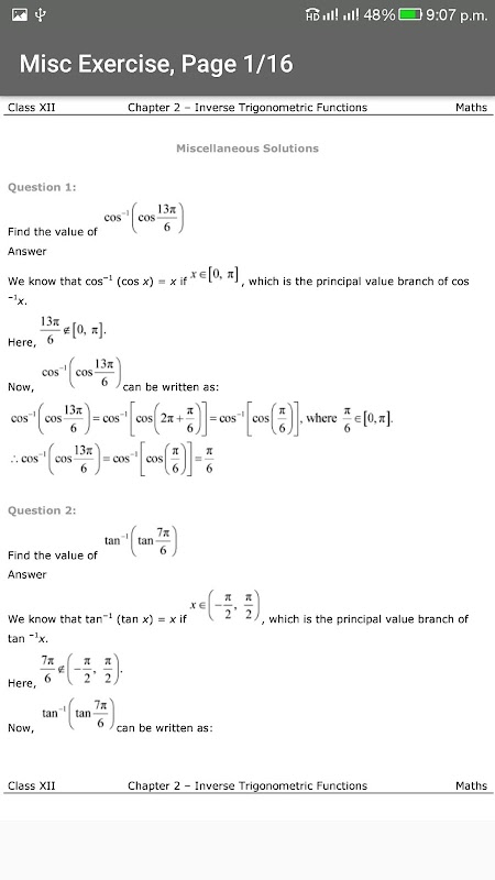
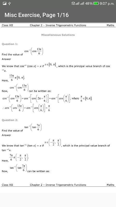
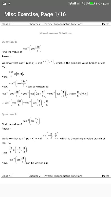
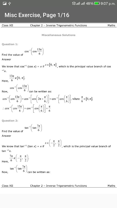
অধ্যায় 2 - ইনভার্স ত্রিকোণমিতিক ফাংশন
অধ্যায় 3 - ম্যাট্রিক্স
অধ্যায় 4 - নির্ধারণকারী
অধ্যায় 5 - ধারাবাহিকতা এবং Differentiability
অধ্যায় 6 - ডেরিভেটিভস প্রয়োগ
অধ্যায় 7 - ইন্টেগ্রাল
অধ্যায় 8 - ইন্টেগ্রাল প্রয়োগ
অধ্যায় 9 - ডিফারেনশিয়াল সমীকরণ
অধ্যায় 10 - ভেক্টর বীজগণিত
অধ্যায় 11 - তিন ডাইমেনশনাল জ্যামিতি
অধ্যায় 12 - লিনিয়ার প্রোগ্রামিং
অধ্যায় 13 - সম্ভাব্যতা
গণিত আদ্যিকাল থেকে মানবতার প্রাসঙ্গিক হয়েছে। আপনাকে জানাতে চাই যে প্রত্নতত্ত্ববিদরা যে সিন্ধু সভ্যতা যে ব্যবহৃত একটি সংখ্যায়ন সিস্টেম আবিষ্কৃত ছিল? তারা বাণিজ্য ও বিশ্বের বিভিন্ন অংশের সঙ্গে বাণিজ্য এই ব্যবহার করা হয়েছে। আজ, গণিত দৈনন্দিন জীবনের প্রায় সব দিক প্রাসঙ্গিকতা হয়েছে। আমরা যখন সুপারমার্কেটে গিয়ে, আমরা অবশ্যম্ভাবীরূপে আমাদের মোট বিল নিরূপণ করা সংখ্যাসূচক সিস্টেমটি ব্যবহার করুন। একজন শিক্ষক ক্লাসে উপস্থিতি লাগে, তখন তারা নিরূপণ কিভাবে অনেক ছাত্র ক্লাসে ইত্যাদি উপস্থিত থাকে। এটা তোলে Jee মতো মহান পথপ্রদর্শক যে সিবিএসই পরীক্ষার জন্য প্রস্তুত করতে ব্যবহার করা যেতে পারে, সেইসাথে ইঞ্জিনিয়ারিং প্রবেশিকা পরীক্ষা হয়। সমাধান ব্যক্তি বা গ্রুপ স্টাডিজ এটি খুবই উপকারী হয়, শিক্ষার্থীদের পাঠদান কীভাবে সেরা একটি সমস্যা কাছে রয়েছে। গণিতশাস্ত্র NCERT সমাধান বর্গ 12 একটি এইড যে ছাত্র স্কুল পাঠ্যপুস্তক পরিপূর্ণ এবং তাদের অনেক ভালো সমস্যার বুঝতে সাহায্য হবে। এটা তোলে পরীক্ষক মন করার জন্য একটি গেটওয়ে হিসেবে কাজ করে।
What's new in the latest 1.5
Class 12 Maths NCERT Solutions APK Information
Class 12 Maths NCERT Solutions এর পুরানো সংস্করণ
Class 12 Maths NCERT Solutions 1.5
Class 12 Maths NCERT Solutions 1.4
Class 12 Maths NCERT Solutions 1.3
Class 12 Maths NCERT Solutions 1.2
APKPure অ্যাপের মাধ্যমে অতি দ্রুত এবং নিরাপদ ডাউনলোড করা হচ্ছে
Android-এ XAPK/APK ফাইল ইনস্টল করতে এক-ক্লিক করুন!



