Class 12 Maths NCERT Solutions
26.2 MB
Bestandsgrootte
Everyone
Android 4.4+
Android OS
Over Class 12 Maths NCERT Solutions
NCERT Oplossingen voor klasse 12 Maths
De Nationale Raad van Onderwijs Onderzoek en Vorming (NCERT) stelt het curriculum voor alle scholen die de Centrale Raad van Secundair Onderwijs (CBSE) volgen in het hele land. NCERT oplossingen voor Class 12 Wiskunde is geschreven om studenten te helpen begrijpen van alle problemen in de door NCERT voorgeschreven studieboeken. De klasse 12 wiskunde NCERT oplossingen studenten te helpen oplossen van de oefeningen die in de leerboeken en krijgen goede cijfers in hun board examen. Het heeft betrekking op vragen van 13 belangrijke hoofdstukken uit de NCERT leerboek, die zowel problemen en hun solutions.Class 12 wiskunde NCERT oplossingen dekt hoofdstukken zoals Integratie, differentiatie, Algebra en anderen. De app is gestructureerd in een stap-voor-stap en logische manier, waardoor de student om de concepten gemakkelijk te begrijpen.
NCERT Class 12 Maths hoofdstuk-wise Solutions
Hoofdstuk 1 - Relaties en functies
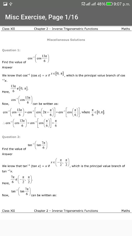
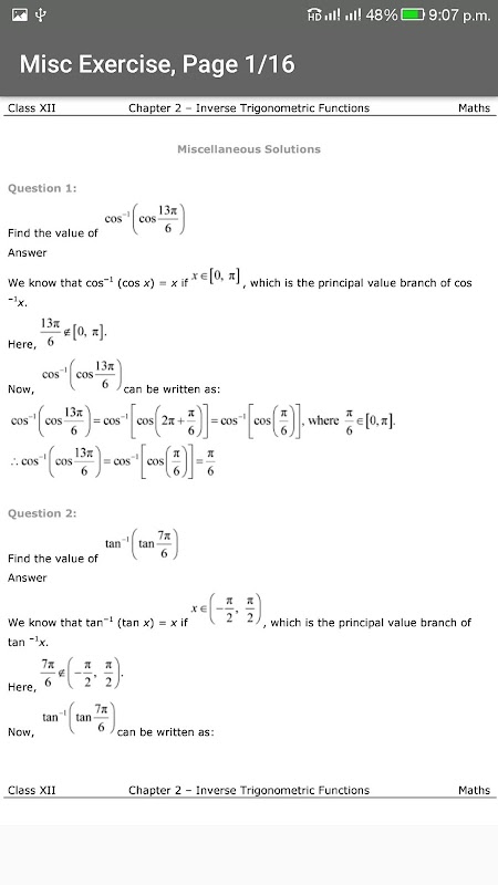
Hoofdstuk 2 - cyclometrische functie
Hoofdstuk 3 - Matrices
Hoofdstuk 4 - Determinanten
Hoofdstuk 5 - Continuïteit en Differentieerbaarheid
Hoofdstuk 6 - Toepassing van Derivaten
Hoofdstuk 7 - integralen
Hoofdstuk 8 - Toepassing van integralen
Hoofdstuk 9 - Differentiaalvergelijkingen
Hoofdstuk 10 - Vector Algebra
Hoofdstuk 11 - Three Dimensional Geometry
Hoofdstuk 12 - lineaire programmering
Hoofdstuk 13 - Waarschijnlijkheid
Wiskunde is de mensheid zo relevant geweest sinds de oudheid. Wist u dat archeologen hebben ontdekt dat een nummering systeem dat wordt gebruikt door de Indusvallei beschaving? Zij gebruikten dit voor de handel en commercie met verschillende delen van de wereld. Vandaag de dag, wiskunde is relevant in bijna alle aspecten van het dagelijks leven. Toen we naar de supermarkt, we onvermijdelijk gebruik maken van de numerieke systeem om onze totale factuur te berekenen. Wanneer een leraar neemt opkomst in de klas, ze berekenen hoeveel studenten presenteren in de klas en ga zo maar door zijn. Het is een geweldige gids die kan worden gebruikt voor te bereiden op de CBSE examens, evenals technische toelatingsexamens als JEE. De oplossingen zijn zeer nuttig tijdens individu of groep studies, studenten te leren hoe u het beste te benaderen een probleem. De wiskunde NCERT oplossingen klasse 12 is een hulpmiddel dat de leerlingen schoolboek moeten aanvullen en hen te helpen de problemen veel beter te begrijpen. Het fungeert als een poort naar de mening van de onderzoeker.
What's new in the latest 1.5
Class 12 Maths NCERT Solutions APK -informatie
Oude versies van Class 12 Maths NCERT Solutions
Class 12 Maths NCERT Solutions 1.5
Class 12 Maths NCERT Solutions 1.4
Class 12 Maths NCERT Solutions 1.3
Class 12 Maths NCERT Solutions 1.2
Supersnel en veilig downloaden via de APKPure-app
Eén klik om XAPK/APK-bestanden op Android te installeren!



