Mengenai Class 12 Maths NCERT Solutions
Solutions NCERT untuk Kelas 12 Maths
Majlis Kebangsaan Penyelidikan Pendidikan dan Latihan (NCERT) menetapkan kurikulum untuk semua sekolah yang mengikuti Lembaga Pusat Pendidikan Menengah (CBSE) di seluruh negara. penyelesaian NCERT untuk kelas 12 Maths yang telah ditulis untuk membantu pelajar memahami semua masalah dalam buku teks yang ditetapkan oleh NCERT. Kelas 12 matematik penyelesaian NCERT membantu pelajar menyelesaikan latihan yang diberikan dalam buku teks dan mendapat markah yang baik dalam peperiksaan lembaga mereka. Ia meliputi soalan daripada 13 bab penting daripada buku teks NCERT, menyediakan kedua-dua masalah dan mereka solutions.Class 12 matematik penyelesaian NCERT meliputi bab seperti Integrasi, Pembezaan, Algebra dan lain-lain. Aplikasi ini disusun dalam langkah demi langkah dan cara yang logik, yang membolehkan pelajar untuk memahami konsep-konsep dengan mudah.
Solutions NCERT Kelas 12 Maths Bab-bijak
Bab 1 - Hubungan dan Fungsi
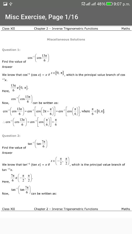
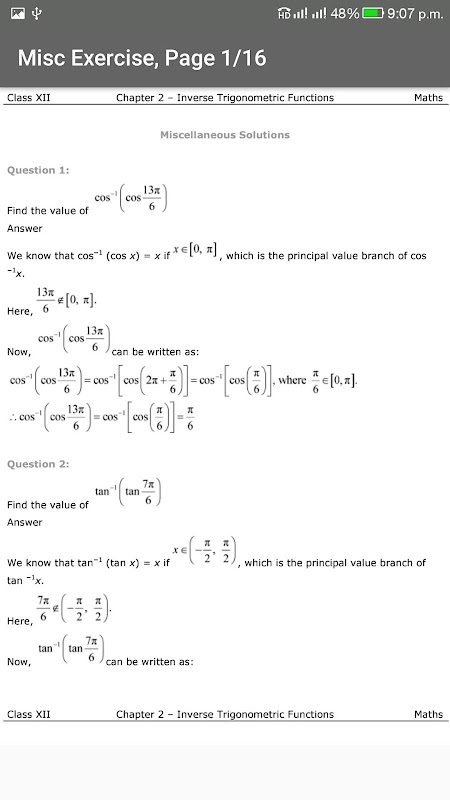
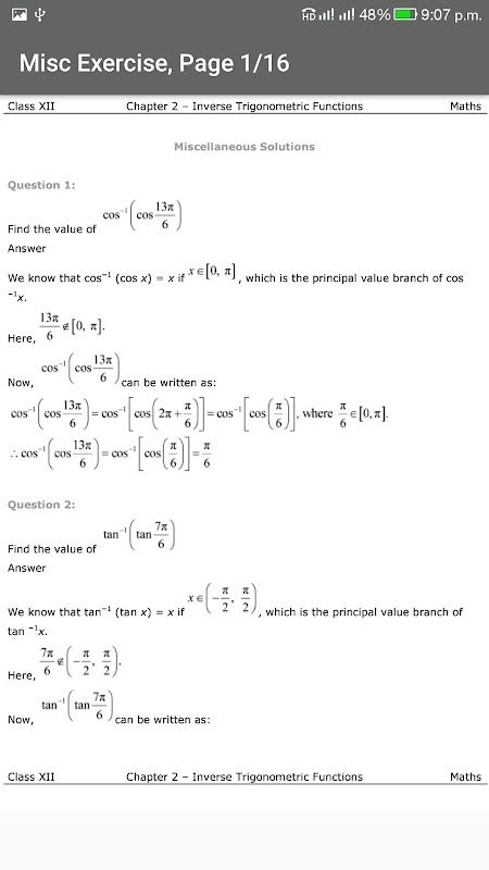
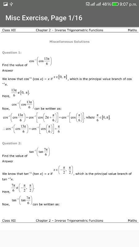
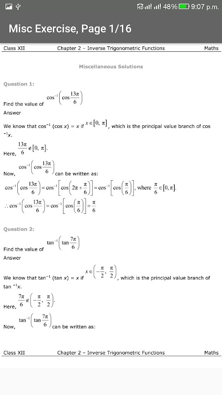
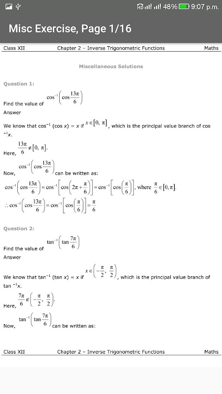
Bab 2 - Fungsi Trigonometri Songsang
Bab 3 - Matrices
Bab 4 - Penentu
Bab 5 - Kesinambungan dan Keterbezaan
Bab 6 - Permohonan Derivatif
Bab 7 - Integrals
Bab 8 - Pemakaian Integrals
Bab 9 - Persamaan Pembezaan
Chapter 10 - Vector Algebra
Chapter 11 - Tiga Geometri Dimensi
Chapter 12 - Pengaturcaraan Linear
Bab 13 - Kebarangkalian
Matematik telah relevan kepada manusia sejak zaman purba. Adakah anda tahu bahawa ahli arkeologi telah menemui bahawa sistem penomboran yang digunakan oleh tamadun Indus Valley? Mereka menggunakan ini untuk perdagangan dan perniagaan dengan bahagian-bahagian yang berlainan di dunia. Hari ini, matematik mempunyai kaitan dalam hampir semua aspek kehidupan seharian. Apabila kita pergi ke pasar raya, kita tidak dapat tidak menggunakan sistem berangka untuk mengira jumlah bil kami. Apabila guru mengambil kehadiran di dalam kelas, mereka mengira berapa ramai pelajar di dalam kelas dan sebagainya. Ia adalah satu panduan yang baik yang boleh digunakan untuk menyediakan untuk peperiksaan CBSE, serta pintu masuk peperiksaan kejuruteraan seperti JEE. Penyelesaian yang sangat membantu semasa pengajian individu atau kumpulan, mengajar pelajar bagaimana untuk mendekati terbaik masalah. Matematik NCERT penyelesaian kelas 12 adalah bantuan yang perlu melengkapkan buku teks sekolah pelajar dan membantu mereka memahami masalah yang jauh lebih baik. Ia bertindak sebagai pintu masuk ke fikiran pemeriksa.
What's new in the latest 1.5
Maklumat APK Class 12 Maths NCERT Solutions
Versi lama Class 12 Maths NCERT Solutions
Class 12 Maths NCERT Solutions 1.5
Class 12 Maths NCERT Solutions 1.4
Class 12 Maths NCERT Solutions 1.3
Class 12 Maths NCERT Solutions 1.2
Muat Turun Super Pantas dan Selamat melalui Apl APKPure
Satu klik untuk memasang fail XAPK/APK pada Android!



