Über All Math Formulas
Abdeckung 1500 und Mathe Formeln mit diagram.Easy zu verstehen und völlig frei
ALLE Mathe Formeln deckt jede und jeder mathematischen Formeln wie Algebra Formeln, Geometrie Formeln, Analytische Geometrie Formeln, Ableitung Formeln, Integration Formeln, Trigonometrie Formeln, Laplace-Transformation Formeln, Wahrscheinlichkeits Formeln, die alle Studenten helfen und speziell diejenigen, die für eine wettbewerbsfähige Prüfungen vorbereiten . .
Algebra Mathe Formeln
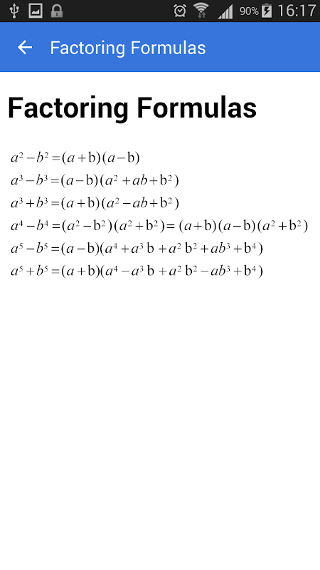
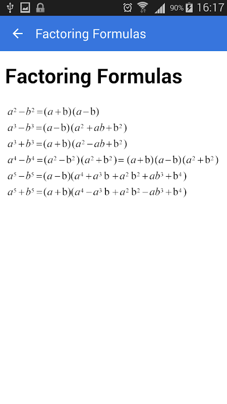
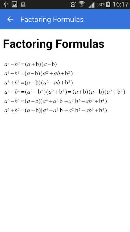
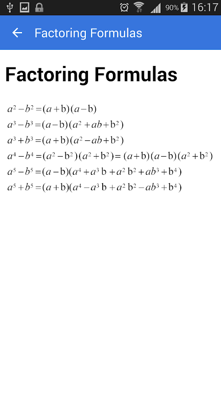
- Factoring Formeln
- Produkt Formeln
- Roots Formel
- Powers Formel
- logarithmisch Formel
- Nützliche Gleichungen
- Komplexe Zahl
- Binomialsatz
Geometrie Mathe Formeln
- Kegel
- Zylinder
- Gleichschenkligen Dreiecks
- Platz
- Sphere
- rechteckig
- Rhombus
- Parallelogramm
- Trapezoid
Analytische Geometrie Mathe Formeln
- 2-D-Koordinatensystem
- Kreis
- Hyperbel
- Ellipse
- Parabola
Ableitung Mathe Formeln
- Grenzwerte Formel
- Eigenschaften von derivativen
- Allgemeine Derivat Formel
- Trigonometrische Funktionen
- Arkusfunktionen
- hyperbolische Funktionen
- Inverse hyperbolische Funktionen
Integration Mathe Formeln
- Eigenschaften der Integration
- Integration von rationalen Funktionen
- Integration der trigonometrischen Funktionen
- Integration von hyperbolischen Funktionen
- Integration von Exponential und Protokollfunktionen
Trigonometrie Mathe Formeln
- Grundlagen der Trigonometrie
- Allgemeine Trigonometrie Formel
- Sinus, Kosinus-Regel
- Tabelle des Winkels
- Winkeltransformation
- Halb / Double / Multiple Winkel Formel
- Die Summe der Funktionen
- Produkt von Funktionen
- Befugnisse der Funktionen
- Eulersche Formel
- Allied Winkel Tisch
- Negative Winkel Identitäten
Laplace Mathe Formeln verwandeln
- Eigenschaften der Laplace-Transformation
- Funktionen der Laplace-Transformation
Fourier Mathe Formeln
- Die Fourierreihe
- Fourier-Transformations-Operationen
- Tabelle der Fourier-Transformation
Serie Mathe Formeln
- Arithmetic Serie
- Geometrische Reihe
- Finite-Serie
- Binomialreihe
- Stromreihenentwicklungen
Numerische Methoden Mathe Formeln
- Lagrange, Newtons Interpolation
- Newtons Vorwärts / Rückwärts-Differenz
- Numerische Integration
- Wurzeln der Gleichung
Vektoranalysis Mathematik Formeln
- Vektor-Identitäten
Wahrscheinlichkeit Mathe Formeln
- Grundlagen des Wahrscheinlichkeits
- Expectation
- Variance
- Distributions
- Permutationen
- Zusammen
Beta Gamma Mathe Formeln
- Beta-Funktionen
- Gamma-Funktionen
- Beta-Gamma-Verhältnis
Z - Transformation
- Eigenschaften von z- Transformation
- Einige gemeinsame Paare
What's new in the latest 31
All Math Formulas APK -Informationen
Alte Versionen von All Math Formulas
All Math Formulas 31
All Math Formulas 4.0
All Math Formulas 3.8
All Math Formulas 16
Superschnelles und sicheres Herunterladen über die APKPure-App
Ein Klick zur Installation von XAPK/APK-Dateien auf Android!




