Tentang All Math Formulas
Penutup 1500 ditambah matematika formula dengan diagram.Easy untuk memahami & benar-benar bebas
SEMUA Matematika Rumus mencakup setiap rumus matematika seperti Aljabar formula, Geometri rumus, Analytical Geometry formula, Penurunan rumus, formula Integrasi, rumus Trigonometri, Transformasi Laplace formula, formula Probabilitas, yang akan membantu semua siswa & khususnya mereka yang sedang mempersiapkan untuk ujian kompetitif . .
rumus aljabar Matematika
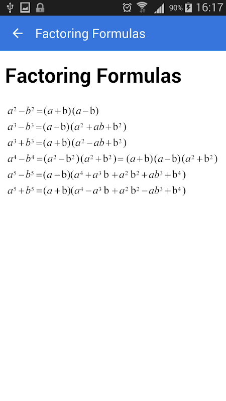
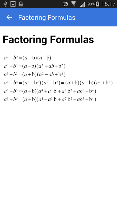
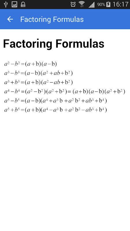
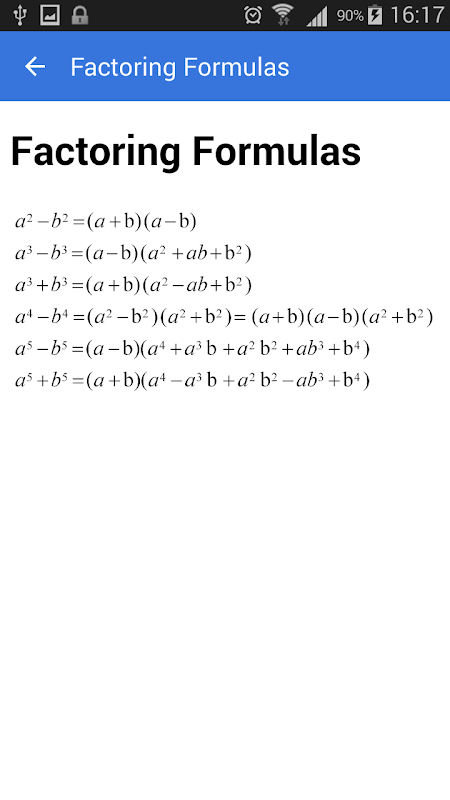
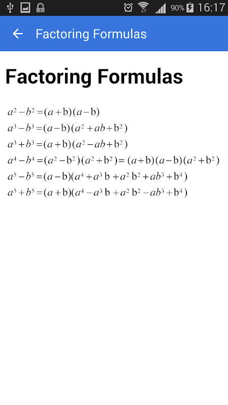
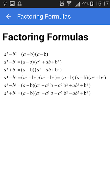
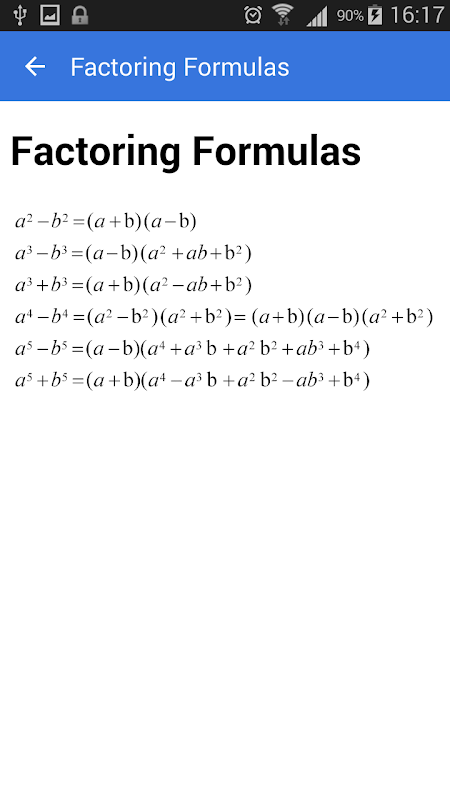
- rumus Anjak
- rumus Product
- Rumus Akar
Rumus Powers -
- Rumus Logaritma
- persamaan Berguna
- Nomor Complex
- Teorema Binomial
rumus geometri Matematika
- Kerucut
- Cylinder
- Segitiga sama kaki
- Kotak
- Sphere
- Empat persegi panjang
- Rhombus
- Jajar Genjang
- Trapesium
rumus analisis Geometri Matematika
- 2-D sistem koordinat
- Lingkaran
- hiperbola
- Ellipse
- Parabola
formula derivasi Matematika
- Formula Batas
- Sifat derivatif
- rumus turunan Umum
- fungsi trigonometri
- fungsi Inverse trigonometri
- fungsi hiperbolik
- Inverse fungsi hiperbolik
formula integrasi Matematika
- Sifat Integrasi
- Integrasi fungsi rasional
- Integrasi fungsi trigonometri
- Integrasi fungsi hiperbolik
- Integrasi Exponential dan log fungsi
rumus trigonometri Matematika
- Dasar-dasar dari Trigonometri
- Rumus Umum Trigonometri
- Sinus, aturan Cosine
- Tabel Angle
- transformasi Angle
- Setengah / Double / Beberapa rumus sudut
- Sum fungsi
- Produk dari fungsi
- Powers fungsi
- Rumus Euler
- Sekutu sudut meja
- identitas sudut negatif
Transformasi Laplace Matematika rumus
- Sifat Transformasi Laplace
- Fungsi Transformasi Laplace
rumus Fourier Matematika
- seri Fourier
- Transformasi Fourier operasi
- Tabel Transformasi Fourier
formula seri Matematika
- seri Aritmatika
- seri geometris
- seri Finite
- seri Binomial
- ekspansi Daya series
metode numerik Matematika rumus
- Lagrange, newton ini Interpolasi
- maju Perbedaan Newton / mundur
- Integrasi Numerik
- Akar persamaan
Vektor kalkulus rumus Matematika
- identitas vektor
Probabilitas rumus Matematika
- Dasar-dasar probabilitas
- Ekspektasi
- Variance
- Distribusi
- Permutasi
- Kombinasi
Beta formula Gamma Matematika
- fungsi Beta
- fungsi Gamma
- hubungan Beta-gamma
Z - Transform
- Sifat z transformasi
- Beberapa pasangan umum
What's new in the latest 31
Informasi APK All Math Formulas
Versi lama All Math Formulas
All Math Formulas 31
All Math Formulas 4.0
All Math Formulas 3.8
All Math Formulas 16
Pengunduhan Super cepat dan aman melalui aplikasi APKPure
Sekali klik untuk menginstal file XAPK/APK di Android!




