All Math Formulas 정보
diagram.Easy와 커버 1500 플러스 수학 공식은 완전 무료 및 이해
모든 수학 공식은 대수 공식, 기하학 공식, 분석 기하학 공식, 유도 공식, 통합 공식, 삼각 함수 공식처럼 각각의 모든 수학 공식을 포함, 라플라스는 모든 학생 및 도움이 될 것입니다 공식, 확률 공식을 변환 특별히 경쟁 시험을 준비하는 사람들 . .
대수학 수학 공식
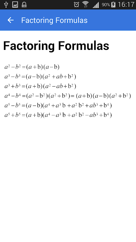
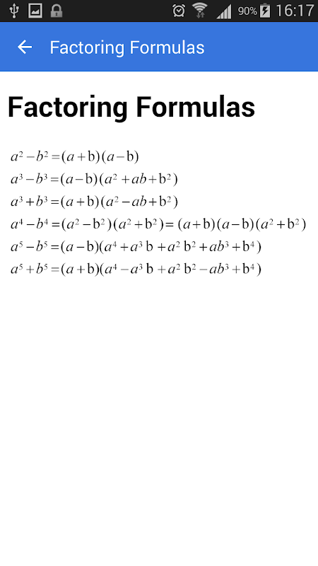
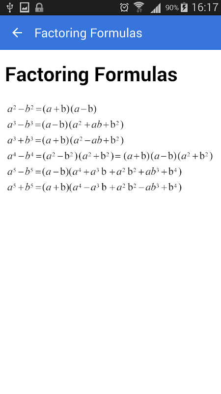
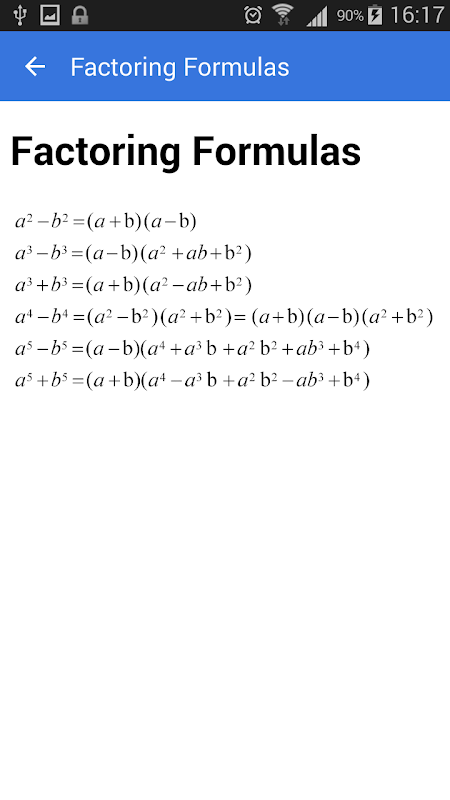
- 인수 분해 공식
- 제품의 공식
- 루츠 식
- 파워 수식
- 화학식 대수
- 유용한 방정식
- 복소수
- 이항 정리
기하학 수학 공식
- 콘
- 실린더
- 이등변 삼각형
- 광장
- 구체
- 직사각형
- 마름모
- 평행 사변형
- 사다리꼴
분석 기하학 수학 공식
- 2-D 좌표 시스템
- 원형
- 쌍곡선
- 타원
- 포물선
유도 수학 공식
- 제한 수식
- 파생 상품의 특성
- 일반 파생 공식
- 삼각 함수
- 역 삼각 함수
- 쌍곡선 함수
- 역 쌍곡선 함수
통합 수학 공식
- 통합의 속성
- 합리적인 기능의 통합
- 삼각 함수의 통합
- 쌍곡선 기능 통합
- 지수의 통합 및 로그 기능
삼각법 수학 공식
- 삼각 함수의 기본
- 일반 삼각법 공식
- 사인, 코사인 법칙
- 각도의 표
- 각도 변환
- 하프 / 더블 / 여러 각도 공식
- 기능의 합
- 기능의 제품
- 기능의 힘
- 오일러의 공식
- 연합군 테이블 각도
- 음의 각도 정체성
라플라스는 수학 수식을 변환
- 라플라스의 속성 변환
- 라플라스의 기능 변환
푸리에 수학 공식
- 푸리에 급수
- 푸리에 작업을 변환
- 푸리에 변환 테이블
시리즈 수학 공식
- 산술 시리즈
- 기하학적 시리즈
- 유한 시리즈
- 이항 시리즈
- 전원 시리즈 확장
수치 방법 수학 공식
- 라그랑주, 뉴턴의 보간
- 뉴턴의 전방 / 후방의 차이
- 수치 통합
- 식 뿌리
벡터 미적분학 수학 공식
- 벡터 정체성
확률 수학 공식
- 확률의 기초
- 기대
- 분산
- 배포
- 순열
- 조합
베타 감마 수학 공식
- 베타 기능
- 감마 기능
- 베타 - 감마 관계
Z - 변환
-의 속성 변환 Z-
- 일반적인 쌍




