About All Math Formulas
Cover 1500 plus maths formulas with diagram.Easy to understand & completely free
ALL Maths Formulas covers each and every math formulas like Algebra formulas,Geometry formulas, Analytical Geometry formulas, Derivation formulas, Integration formulas, Trigonometry formulas, Laplace transform formulas, Probability formulas, that will help all students & specially those who are preparing for competitive exams. .
Algebra Maths formulas
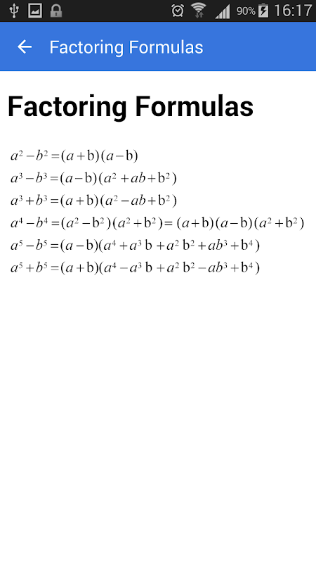
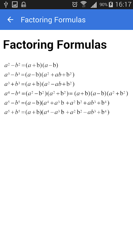
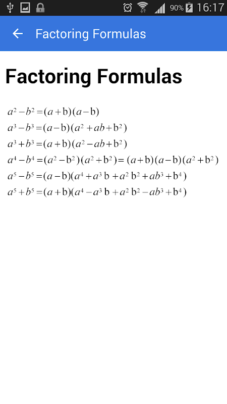
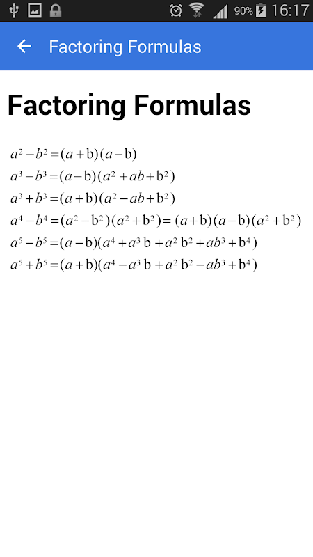
- Factoring formulas
- Product formulas
- Roots formula
- Powers formula
- Logarithmic formula
- Useful equations
- Complex number
- Binomial theorem
Geometry Maths formulas
- Cone
- Cylinder
- Isosceles Triangle
- Square
- Sphere
- Rectangle
- Rhombus
- Parallelogram
- Trapezoid
Analytical Geometry Maths formulas
- 2-D coordinate system
- Circle
- Hyperbola
- Ellipse
- Parabola
Derivation Maths formulas
- Limits formula
- Properties of derivative
- General derivative formula
- Trigonometric functions
- Inverse Trigonometric functions
- Hyperbolic functions
- Inverse Hyperbolic functions
Integration Maths formulas
- Properties of Integration
- Integration of rational functions
- Integration of Trigonometric functions
- Integration of Hyperbolic functions
- Integration of Exponential and log functions
Trigonometry Maths formulas
- Basics of Trigonometry
- General Trigonometry formula
- Sine, Cosine rule
- Table of Angle
- Angle transformation
- Half/Double/Multiple angle formula
- Sum of functions
- Product of functions
- Powers of functions
- Euler's formula
- Allied angles table
- Negative angle identities
Laplace transform Maths formulas
- Properties of Laplace transform
- Functions of Laplace transform
Fourier Maths formulas
- Fourier series
- Fourier transform operations
- Table of Fourier transform
Series Maths formulas
- Arithmetic series
- Geometric series
- Finite series
- Binomial series
- Power series expansions
Numerical methods Maths formulas
- Lagrange, newton's Interpolation
- Newton's forward/backward difference
- Numerical integration
- Roots of equation
Vector calculus Maths formulas
- vector identities
Probability Maths formulas
- Basics of probability
- Expectation
- Variance
- Distributions
- Permutations
- Combinations
Beta Gamma Maths formulas
- Beta functions
- Gamma functions
- Beta-gamma relation
Z - Transform
- Properties of z- transform
- Some common pairs
What's new in the latest 31
All Math Formulas APK Information
Old Versions of All Math Formulas
All Math Formulas 31
All Math Formulas 4.0
All Math Formulas 3.8
All Math Formulas 16
Super Fast and Safe Downloading via APKPure App
One-click to install XAPK/APK files on Android!




