Oписание All Math Formulas
Обложка 1500 плюс математика формулы с diagram.Easy, чтобы понять и совершенно бесплатно
ALL Математика Формула охватывает каждый математические формулы как алгебра формулы, геометрия формулы, Аналитическая геометрия формулы, Вывод формулы, интеграции формулы, тригонометрии формулы, преобразование Лапласа формулы, вероятностные формулы, которые помогут всем студентам & особенно тех, кто готовится к конкурсным экзаменам , ,
Алгебра Математика формулы
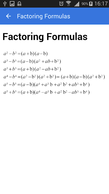
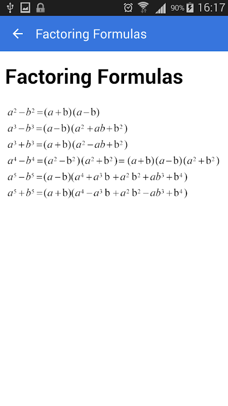
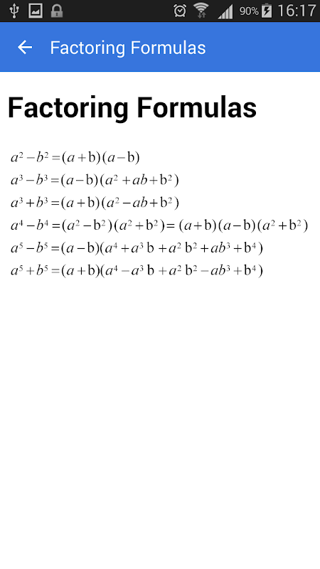
- Факторинг формулы
- формулы продукта
- Корни формула
- Пауэрс формула
- логарифмическая формула
- Полезные уравнения
- Комплексное число
- бином
Геометрия Математика формулы
- Cone
- цилиндр
- Равнобедренный треугольник
- Квадрат
- сфера
- Прямоугольник
- ромб
- параллелограмм
- трапеция
Аналитическая геометрия Математика формулы
- 2-D система координат
- Круг
- гипербола
- Ellipse
- парабола
Выведение формулы математике
- Пределы формула
- Свойства производной
- Общая формула производной
- Тригонометрические функции
- функции Обратные тригонометрические
- гиперболические функции
- Обратные гиперболические функции
Интеграция математика формула
- Свойства интеграции
- Интегрирование рациональных функций
- Интеграция функций тригонометрических
- Интеграция функций гиперболических
- Интеграция Экспоненциальная и журнала функции
Тригонометрия математике формулы
- Основы тригонометрии
- формула Общая тригонометрия
- Синус, косинус правило
- Таблица угла
- преобразование угла
- Половина / Double / Multiple формула угол
- Сумма функций
- Продукт функций
- Полномочия функций
- формула Эйлера
- ОВС углы стола
- Негативные тождества угла
Преобразование Лапласа Математика формул
- Свойства преобразования Лапласа
- Функции преобразования Лапласа
Фурье математика формула
- ряд Фурье
- Фурье операции преобразования
- Таблица преобразования Фурье
Серия Математика формулы
- Арифметика серия
- Геометрическая серия
- Конечные серии
- Бином серия
- разложения в ряд питания
Численные методы математика формула
- Лагранжа, Ньютона Интерполяция
- вперед / назад разница Ньютона
- Численное интегрирование
- Корни уравнения
Векторное исчисление математика формула
- векторные тождества
Вероятность математика формула
- Основы теории вероятностей
- Expectation
- Дисперсия
- Распределения
- Перестановки
- Комбинации
Бета формулы Gamma математика
- функция беты
- функция Гаммы
- Бета-гамма связь
Z - преобразование
- Свойства z- преобразования
- Некоторые общие пары
Что нового в последней версии 31
Информация All Math Formulas APK
Старые Версии All Math Formulas
All Math Formulas 31
All Math Formulas 4.0
All Math Formulas 3.8
All Math Formulas 16
Популярные Приложения за Последние 24 Часа
Супер Быстрая и Безопасная Загрузка через Приложение APKPure
Один клик для установки XAPK/APK файлов на Android!




