このAll Math Formulasについて
理解するために1500プラスdiagram.Easyと数学の公式をカバー&完全無料
ALL数学式は、代数式、ジオメトリ式、解析幾何学式、導出式、統合式、三角関数の式のように一人ひとりの数学の公式をカバーし、ラプラスは、すべての学生&を助ける式、確率式を、変換に特別の競争試験の準備をしている者。 。
代数数学式
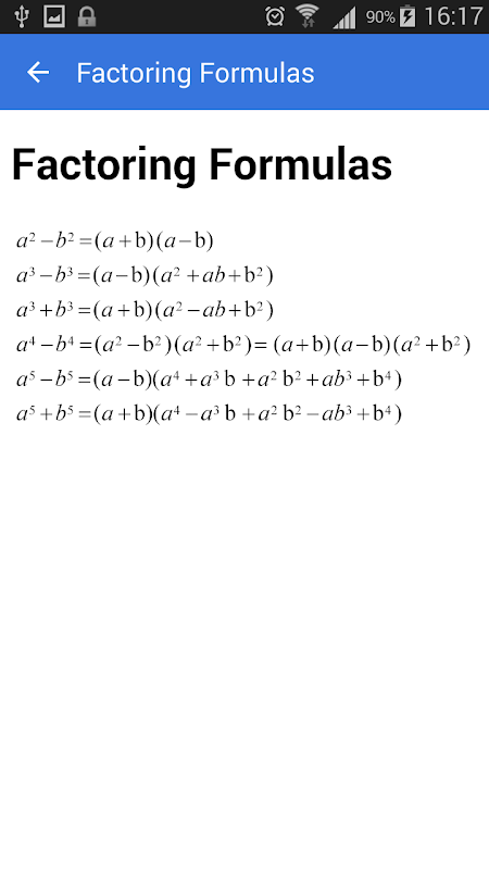
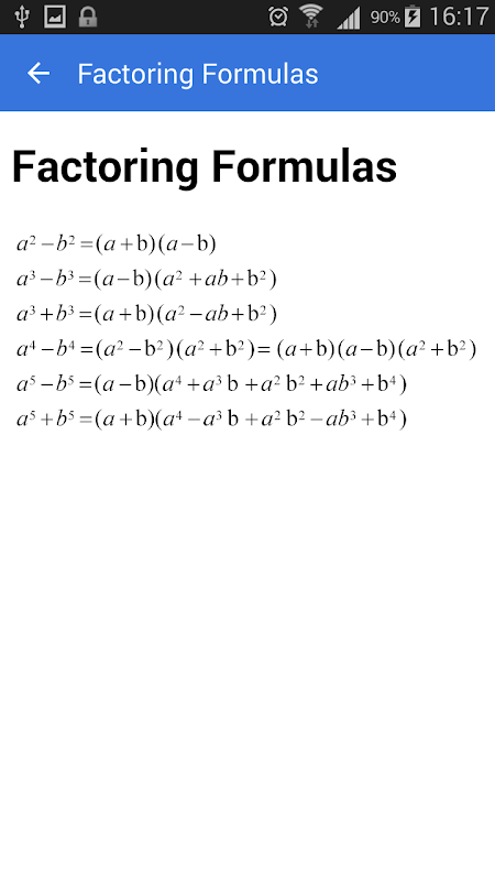
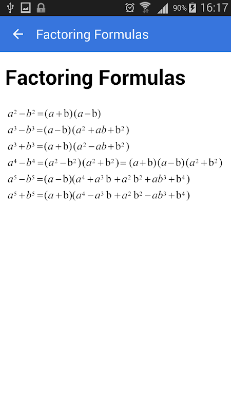
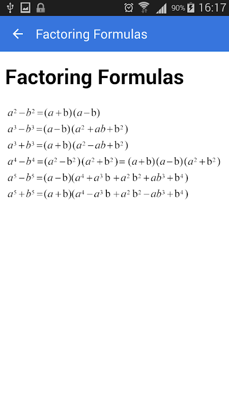
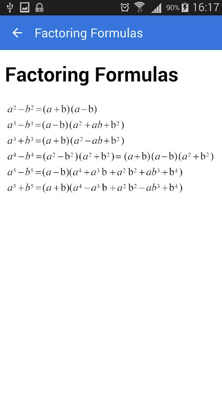
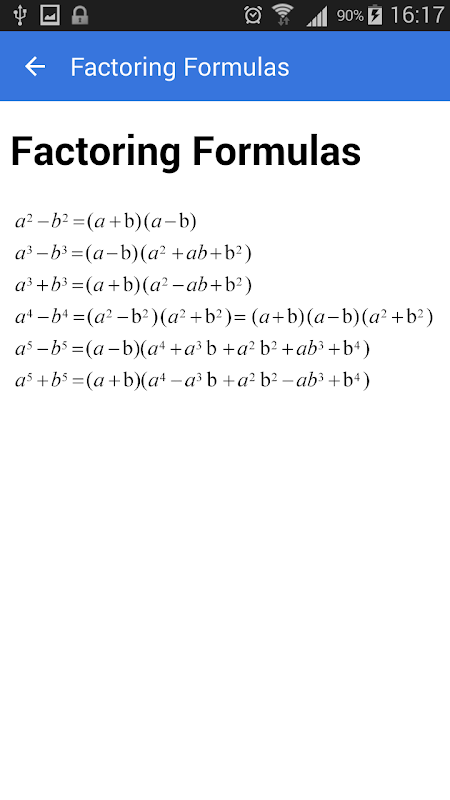
- ファクタリング式
- 製品式
- ルーツ式
- パワーズ式
- 対数式
- 便利な方程式
- 複素数
- 二項定理
ジオメトリ数学式
- コーン
- シリンダー
- 二等辺三角形
- 平方
- 球
- 長方形
- 菱形
- 平行四辺形
- 台形
解析幾何学数学式
- 2-D座標系
- サークル
- 双曲線
- 楕円
- 放物線
導出数学式
- 制限式
- 誘導体の性質
- 一般派生式
- 三角関数
- 逆三角関数
- 双曲線関数
- 逆双曲線関数
統合数学式
- 統合のプロパティ
- 合理的機能の統合
- 三角関数の統合
- 双曲線関数の統合
- 指数とログ機能の統合
三角関数数学式
- 三角法の基礎知識
- 一般的な三角法の式
- サイン、コサイン則
- 角度の表
- 角度変換
- ハーフ/ダブル/マルチアングル式
- 関数の和
- 機能の製品
- 機能のパワーズ
- オイラーの公式
- 連合軍は、テーブルの角度
- 負の角度のアイデンティティ
ラプラスは、数学の公式を変換します
- ラプラスのプロパティは、変換します
- ラプラスの機能変換します
フーリエ数学式
- フーリエ級数
- フーリエ変換操作
- フーリエ変換の表
シリーズ数学式
- 算数シリーズ
- 幾何学シリーズ
- 有限シリーズ
- 二項シリーズ
- パワーシリーズ展開
数値法数学式
- ラグランジュ、ニュートンの補間
- ニュートンの前進/後退差分
- 数値積分
- 方程式のルーツ
ベクトル解析数学式
- ベクトルのアイデンティティ
確率は数学式
- 確率の基礎知識
- 期待
- 分散
- ディストリビューション
- 順列
- 組み合わせ
ベータガンマ数学式
- ベータ版の機能
- ガンマ関数
- ベータ - ガンマ関係
Z - 変換
- Z-のプロパティは、変換します
- いくつかの一般的なペア




